阿摩線上測驗
登入
首頁
>
教甄◆數學
> 104年 - 中區國中數學#23230
104年 - 中區國中數學#23230
科目:
教甄◆數學 |
年份:
104年 |
選擇題數:
50 |
申論題數:
0
試卷資訊
所屬科目:
教甄◆數學
選擇題 (50)
1. 著名的七橋問題是與下列哪一位數學家所研究的: (A) 柏努力 (B) 費馬 (C) 尤拉 (D) 高斯
2. 某工廠有三部機器 A、B、C ,產量分別占全部產量的 60%、30%、10% ,又設三部機器所生產的不良品比率依次為 2%、3%、4% , 由全部產品中任取一產品,若發現此產品為不良品,則產自 B 機器的機率為: (A) 7/25 (B) 12/25 (C) 9/25 (D) 16/25
3. 若同時投擲一枚不公正的硬幣與一枚公正的硬幣一次,兩枚都出現正面的機率是 log3 ,試問只投擲該枚不公正的硬幣一次時,出 現正面的機率為何?
4. 擲一個骰子兩次,第一次點數大於第二次點數的機率為: (A) 1/3 (B) 5/12 (C) 4/9 (D) 7/12
5. 從 1,2,…,9 這 9 個數字中,一次任意抽取 3 個數字,求其中至少有兩個數字是連續正整數的情形有多少種? (A) 42 (B) 49 (C) 54 (D) 58
6. 根據內政部統計,50 歲的國民五年生存的機率為 0.92。王先生今年 50 歲,向壽險公司投保五年期人壽保險 4,000,000 元, 保費 350,000 元一次繳清。請問壽險公司獲利的期望值是多少元? (A) 350,000 (B) 322,000 (C) 292,000 (D)30,000
7. 若
(A) 0 (B) 22 (C) 4 (D) -8
8. 設
,下列敘述何者錯誤? (A) f(x)有水平漸近線 y = 1 (B) f(x)有水平漸近線 y =(-1) (C) f(x)有垂直漸近線 x = 1 (D) f(x)有垂直漸近線 x =(-1)
9. 下列何者不是線性微分方程:
10.
? (A) 1/16 (B) 1/12 (C) 1/8 (D) 1/4
11.試計算由 y=x
3
-3x
2
-x+3、x=2 與 x 軸,從 x=-1 至 x=2所包圍的面積為: (A) 21/4 (B) 11/2 (C) 23/4 (D) 25/4
12.函數f(x,y)=(x
3
+x)y
2
,則此一函數之偏微分 f
xy
(0,1)? (A) 0 (B) -2 (C) 4 (D) 2
13.試求曲面 x
2
+y
2
+z
2
=9,求在(1,2,3) 的切平面方程式為: (A)x+2y+2z=18 (B)x+2y+2z=9 (C)x+2y+2z=8 (D)x+2y+2z=12
14.若 f(x)存在反函數 f
-1
(x)且 f (x) + f (-x) = 3 ,則 f
-1
(x-3)+f
-1
(6-x)=? (A) - 2 (B) -1 (C) 0 (D) 1
15.
的收斂區間為: (A) [-1, 1] (B) [-1, 1) (C) (-1, 1] (D) (-1, 1)
16.
? (A) 0 (B) 1 2 (C) 1 (D) ∞
17.下列何者為奇函數?
18.設
,且 A
2
+xA+yI=O,試求數對(x,y)為何? (A) (-5,2) (B) (5,2) (C) (2,5) (D) (-2,5)
19.試求三階行列式
的值為何? (A) 0 (B) 1 (C) 15 (D) 16
複選題
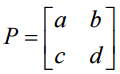
20.若
,且平面上二點 A(2, 3) 和 B(1, 4) 經過 P 變換後落在 C(1, 0) 和 D(0, 1) ,下列敘述何者錯誤? (A) a = 2d (B) b = 3c (C) 2 a +d =2 (D) b + c + d= 0
21.若 α 、 β 、γ 為方程式x
3
-8x
2
+13x-6 =0 的三個解,則 α
2
+β
2
+γ
2
= ? (A) 38 (B) 42 (C) 46 (D) 48
22.有一橋不知其寬,只知長 15 公尺的圓木材流過橋下需 14 秒,長 23 公尺的圓木材流過橋下需 18 秒,則橋寬是多少公尺? (A) 8 (B) 10 (C) 13 (D) 15
23.已知一多項式 W,如果 W÷( x+1 )的餘式為 1,則〔W×( x-1 )〕÷( x+1 ),所得餘式為何? (A) 1 (B) 2 (C)-2 (D)-1
24.若 0.9<a<1 ,請比較 a 、 b =a
a
、 c =a
b
三數的大小順序。 (A) b >a>c (B) b> c> a (C) a>b>c(D) c> b> a
25. 設 a、b、c 為分數,ax
2
+bx+c=0 的兩根都是分數,則 b
2
-4ac 有可能為何? (A) 6 (B) 7 (C) 8 (D) 9
26.設 a1 = 0,a2 =1,且 7a
n
= 4a
n+1
+ 3a
n-1
,n ≥ 2,n 為正整數,求
(A) 1 (B) 2 (C) 3 (D) 4
27.設 log x + log y =1 ,若 x
2
+y
2
-5x-5y+12 的最小值為 a,則: (A) 0 < a < 1 (B) 1 < a < 2 (C) 2 < a < 3 (D) 3 < a < 4
28.設
之根為 1, a
1
, a
2
, …., a
n-1
,求 (1-a
1
)(1-a
2
) (1-a
n-1
) 之值=? (A) 0 (B) n – 2 (C) n – 1 (D) n
29.設
的最大值為 a,最小值為 b,求 a + b =? (A) 1 (B) 2 (C) 1/4 (D) 3/4
30.已知
,下列敘述何者正確? (A)y2>2 > (B) y
2
≥ 4xz (C) y
2
<4xz (D) y
2
≤ 4xz
31.設
,方程式x
2
+a|x|+a
2
-6=0 有唯一的實數解,則 a = ?
32.設f(x)=x
3
+ax
2
+bx+5能被 x
2
-1 整除,求 a - 4b 之值為何? (A) -1 (B) 0 (C) 1 (D) 2
33.設 A=59
5
+5x59
4
+10x59
3
+10x59
2
+5x59+1,則 A 的正整數因數共有多少個? (A) 250 (B) 396 (C) 412 (D) 486
34.從 1,2,…,100 這 100 個正整數中,最多可取多少個數出來,使得任意兩個數的和都不為 9 的倍數? (A) 46 (B) 47 (C) 48 (D) 49
35. 計算積分
? (A) 0 (B) ln 21 (C) –ln 21 (D) 1
36. 設 α 、 β 為 x
2
+5x+4=0 的二根,則
(A) -9 (B) -1 (C) 1 (D) 9
37.已知 Θ 為一銳角,且
,下列敘述何者正確? (A) cot Θ =4/3 (B) tan Θ = -3/ 4 (C) sec Θ =5/3 (D) cos Θ = -4/5
38.若 a、b、c 為三個連續正偶數,若 ab + bc= 288 ,則 a +b +c = ? (A) 24 (B) 30 (C) 36 (D) 42
39. 若
,則下列何者正確? (A) x > 4 或 - 4 < x < 2 (B) x < 4 (C) - 4 < x < 0 或 0 < x < 2 (D) x < -4
40.若 3
60
乘開後為 x 位數,最高位數字為 y,個位數字為 z,下列何者錯誤? (A) yz|x (B) x +y +z = 34 (C) z |y (D) x= 7y+z
41.已知正 m 邊形與正 n 邊形的一個內角度數比為 9:10,則直線
必須經過下列哪一點? (A) ( 20 ,-18 ) (B) (-18 , 20 ) (C) (-20 , 18 ) (D) (-20 ,-18 )
42.如附圖,△ABC 中,有一點 P 在 AC 上移動。若 AB = AC =5, BC =6,則 AP + BP + CP 的最小值為何?
(A) 8 (B) 8.8 (C) 9.8 (D) 10
43 如附圖,ABCD 為平行四邊形, AB =6, BC =7。若∠B 的角平分線交 AD 於 E 點,則△ABE 和四邊形 EDCB 的面積比為何?
(A) 6:7 (B) 5:6 (C) 4:5 (D) 3:4
44.如附圖,△ABC 中,四分之一圓與 BC 切於 F 點, AH ⊥ BC ,半徑 DE // BC 。若 AH =10, BC =30,則 EF =?
(A) 5.5 (B) 6.5 (C) 7.5 (D) 8.5
45.如附圖,正方形 ABCD 的邊長是 8 公分, CG 為 6 公分,則長方形 DEFG 的寬 DE 是多少公分?
(A) 4.8 (B) 6 (C) 6.4 (D) 7.2
46. 如附圖,扇形 OAB 半徑為 6,∠O 為 60 度,內有一圓與
都相切,求內切圓的半徑是多少?
(A) √3 (B) √6 (C) 1.5 (D) 2
47.如附圖,△ABC 中, AB =8, BC =10, AC =12, AD 為∠BAC 的角平分線,E 為 BC 中點,則 DE =?
(A) 1 (B) 2 (C) 3 (D) 4
48.如附圖,距離地面 12 公分處有一點光源,使半徑為 3 公分的小球留在地面上的影長為 AB 。若 BC =5,則 AB =?
(A) 10 (B) 11 (C) 12 (D) 13
49.如附圖,梯形 ABCD 中, AB = 2, CD = 4,兩對角線交於 O 點,過 O 作 EF 使得 EF // AB ,求 EF 之長為:
(A) 7/3 (B) 8/3 (C) 9/3 (D) 10/3
50.有一矩形的四個頂點分別為 A(0,0), B(0, -2) ,C(3, -2) , D(3,0) 。在矩形周界上任取一點 P,使得 P 到原點的距離 小於 P 到點 (4,- 1) 的距離的機率為何? (A) 17/25(B) 13/16(C)15/23 (D)23/40
申論題 (0)
相關試卷
115年 - 115-1 國立嘉科實驗高級中學_教師甄選試題_高中部:數學科#138615
115年 · #138615
115年 - 115-1 臺北市立大同高級中學_教師甄選初選試題:高中數學科#138591
115年 · #138591
115年 - 115-1 臺北市立大安高工教師甄選試題:數學科#138455
115年 · #138455
115年 - 115-1 國立臺灣師範大學附屬高級中學_專任教師甄選試題:數學科#138411
115年 · #138411
115年 - 115-1 國立臺灣師範大學附屬高級中學_專任教師甄選試題:數學科#138410
115年 · #138410
115年 - 115-1 國立臺灣師範大學附屬高級中學_專任教師甄選試題:數學科#138409
115年 · #138409
115年 - 115-1 臺北市立麗山高級中學_正式教師甄選試題:數學科#138397
115年 · #138397
115年 - 115-1 國立臺南一中_教師甄選初試試題:數學#138376
115年 · #138376
115年 - 115 國立嘉科實驗高級中學_國小部普通班教師甄選試題:數學#138356
115年 · #138356
115年 - 115-1 國立中央大學附屬中壢高級中學教師甄選試題:數學科#138235
115年 · #138235