阿摩線上測驗
登入
首頁
>
國中會考基測◆數學科
>
104年 - 104 國中教育會考:數學科#50994
> 試題詳解
試題詳解
試卷:
104年 - 104 國中教育會考:數學科#50994 |
科目:
國中會考基測◆數學科
試卷資訊
試卷名稱:
104年 - 104 國中教育會考:數學科#50994
年份:
104年
科目:
國中會考基測◆數學科
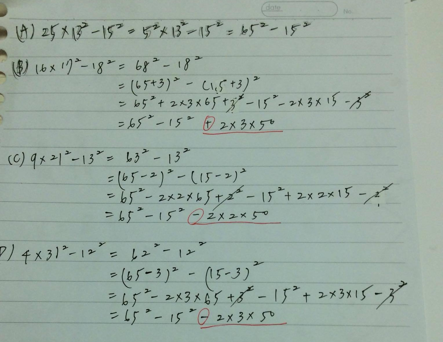
16. 判斷下列各式的值,何者最大?
(A) 25 × 13
2
− 15
2
(B) 16 × 17
2
− 18
2
(C) 9 × 21
2
− 13
2
(D) 4 × 31
2
− 12
2
正確答案:
登入後查看
詳解 (共 3 筆)
W4561998
B3 · 2020/03/25
推薦的詳解#3844289
未解鎖
a2-b2=(a+b)(a-b) (A...
(共 304 字,隱藏中)
前往觀看
7
0
丹
B6 · 2022/08/24
推薦的詳解#5597474
未解鎖
(共 1 字,隱藏中)
前往觀看
4
0
汪信恆
B2 · 2018/04/26
推薦的詳解#2749828
未解鎖
有無其它簡易做法?
(共 11 字,隱藏中)
前往觀看
2
0
私人筆記 (共 1 筆)
Terry Tung
2022/04/29
私人筆記#4082199
未解鎖
(共 0 字,隱藏中)
前往觀看
1
0