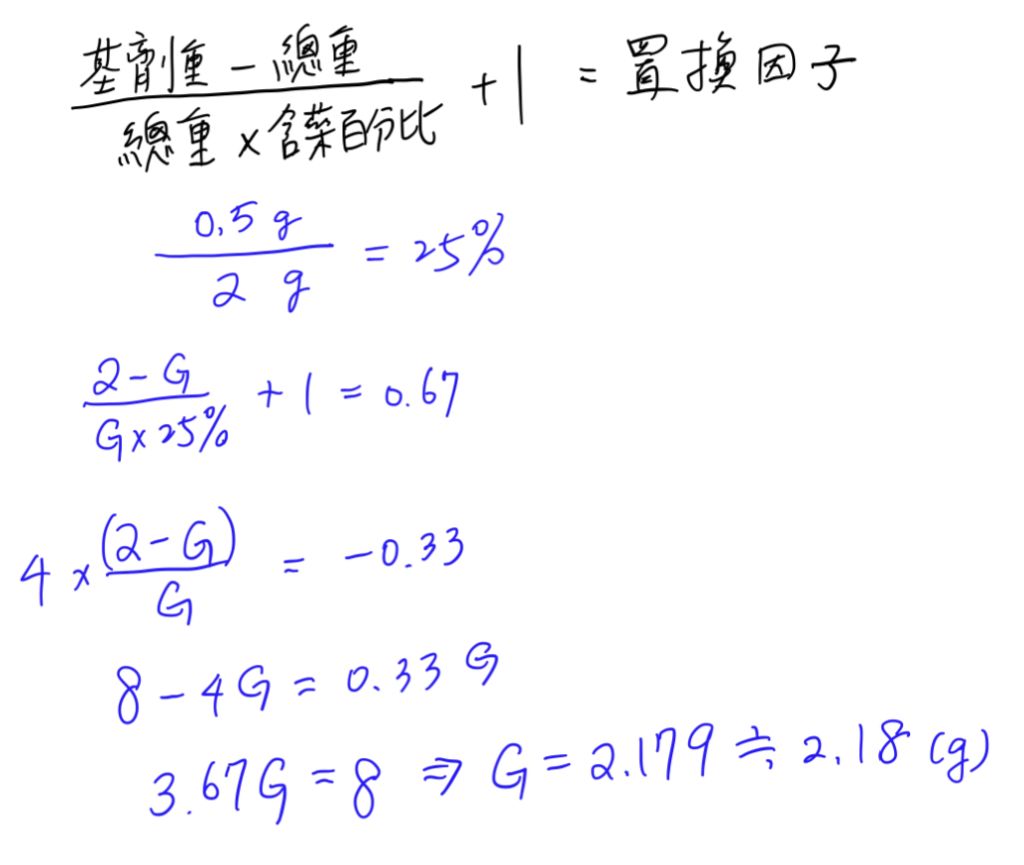
17.以可可脂製作基準為2克的栓劑,現擬製作含有水合三氯乙醛500 mg(藥量替換因子為0.67)之栓劑,則依
dosage replacement factor method計算,製出之每個成品應為多少重量(g)?
(A)2.000
(B)2.019
(C)2.085
(D)2.180
答案:登入後查看
統計: A(296), B(902), C(1730), D(4476), E(0) #2179901
統計: A(296), B(902), C(1730), D(4476), E(0) #2179901
詳解 (共 10 筆)
#4068400
稍微來簡單說明比較一下
也可以不用記公式算 不好記
| 密度因子density factor(調劑學稱為取代值) | 1g基劑的體積 = ? g藥品的體積 |
| 劑量替換因子dosage replacement factor | 1g藥品的體積 = ? g基劑的體積 |
根據上述
我們可以知道
500g藥品的體積會 = 500 * 0.67 = 335g基劑的體積
因此在栓劑製成不變下,栓劑體積不變 ,但重量會改變
成品重量 = 2 - (500*0.67) + 500 = 2.165
找最接近的,選(D)
323
10
#4070905
我的理解 不知道有沒有錯><


191
0
#3837740
劑量置換因子dosage replacement factor method (f)
f = 【100( E - G ) / ( G * X)】+1
f : 取代因子
E : 純基劑栓劑重量
G : 含藥品的栓劑重量
X : 藥品所占百分比 = 500(mg) / G(g) = 0.5/G
0.67 = 【100( 2 - G) / {G *(0.5/G)*100}】+1
=【4 - 2G】+1
= 5 - 2G
得G = 2.165(g)
選最接近的答案,選D
30
0
#3792187
2- (0.5 * 0.67 ) + 0.5 = 2.165
19
1
#3933368

應該是這樣~有大神可以解釋為什麼要加1嗎?為了不要有負號?
19
2