18. 在直角坐標平面上,若將二次函數 y = x2 -1 的圖形向左平移 2 個單位長,再向上平移 3
個單位長,則可得那一個二次函數的圖形?

答案:登入後查看
統計: A(13), B(44), C(7), D(184), E(0) #605157
統計: A(13), B(44), C(7), D(184), E(0) #605157
詳解 (共 1 筆)
#895898
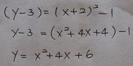
向左平移2個單位原本的y->(x+2) 想法:因為左移要加回才會回到原來的位子
向上平移3個單位原本的y->(y-3 ) 想法:因為上移要減掉才會回到原來的位子
分別代入,即可得到答案。
7
0