阿摩線上測驗
登入
首頁
>
國營事業◆1.電路學 2.電子學
>
105年 - 105 經濟部所屬事業機構_新進職員甄試_電機(甲)、儀電:1.電路學 2.電子學#60392
> 試題詳解
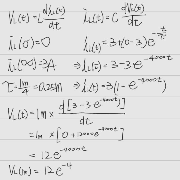
21. 如右圖之電路,t =0 s時,開關瞬間閉合。 20Ω 則t =1 ms時,電壓V
L
?
(A)
(B)
(C)
(D)
答案:
登入後查看
統計:
A(5), B(13), C(227), D(11), E(0) #1539305
詳解 (共 2 筆)
學覽風采
B1 · 2019/03/21
#3256000
(共 1 字,隱藏中)
前往觀看
10
1
gortsoa
B2 · 2025/04/06
#6361777
0
0
私人筆記 (共 1 筆)
阿Bao
2020/11/14
私人筆記#2638203
未解鎖
(共 0 字,隱藏中)
前往觀看
2
0
相關試題
44. 對一PN二極體施加逆向偏壓,有關逆向飽和電流IS的敘述何者有誤? (A)逆向偏壓時會產生極小的逆向飽和電流IS (約10-15 A) (B) IS由少數載子數量控制 (C)溫度越高,IS會上升 (D) Junction面積增加會使IS下降
#1539328
45. 下列有關MOS電流鏡和BJT電流鏡的比較何者有誤? (A) MOS電流鏡無β效應(有限β值效應) (B)通常MOS電流鏡的 比BJT電流鏡的來的大 (C) MOS電流鏡r 的影響比BJT電流鏡小(有限 ro 值效應) (D) Wilson電流鏡的電路可降低BJT電流鏡β值有限效應及增加輸出電阻值
#1539329
46. 如右圖的電晶體放大電路,,求小信號電壓放 大增益值vo/vi 為多少?(C1、C2 及CS 可視為短路) (A) -5.7 (B) -10.7 (C) -20.7 (D) -30.7
#1539330
47. 如右圖的數位邏輯電路,A、B為邏輯輸入,請問Y輸出為何? (A) (B) A+ B (C) AB (D)
#1539331
48. 開路放大器的增益函數 ,當回授因子β值為多少時,會使閉回路放大器成為臨 界阻尼響應。 (A) 0.525 (B) 0.625 (C) 0.725 (D) 0.825
#1539332
49. 如右圖之電路,假設所有電晶體完全相同,且爾利電壓(Early Voltage)|VA | ∞,並忽略電流 IB,請問要使此電路 R=1kΩ I 1 操作在線性區域內 [ vomin , vomax ],其輸入電壓值vI 要在哪種範圍? (A) (B)(C) (D)
#1539333
50. 如右圖之電路,一個 MOSFET 放大器的小 Cgd 信號高頻等效電路,假設 1 pF,RS= 100 Ω,請問高頻-3dB 的 值 為多少? (A) (B) (C) (D)
#1539334
1. 電流 ,如改用相量表示為何? (A) 11.2∠- 26.6° A (B) 11.2∠ -53.2° A (C) 22.4∠- 26.6° A (D) 22.4∠- 53.2° A
#1539285
重新載圖2. 有一弦波電壓 ,當 t=2.778 ms時,電壓值為何? (A) 0 V (B) 150 V (C) 212 V (D) 260 V
#1539286
3. 有一電壓源串聯1 Ω電 阻,則1 Ω電阻所吸收之平均功率為何? (A) 5300 W (B) 8050 W (C) 10300 W (D) 10525 W
#1539287
相關試卷
114年 - 114 台灣電力公司_大學及研究所獎學金甄選試題_電驛:電路學、電子學及保護協調#137052
2025 年 · #137052
114年 - 114 經濟部所屬事業機構_新進職員甄試試題_電機、儀電:1 .電路學 2 .電子學#136976
2025 年 · #136976
113年 - 113 經濟部所屬事業機構_新進職員甄試_電機(一)、電機(二)、儀電:電路學、電子學#123749
2024 年 · #123749
112年 - 112 經濟部所屬事業機構_新進職員甄試試題_電機、儀電:1.電路學 2.電子學#116960
2023 年 · #116960
111年 - 111 經濟部所屬事業機構_新進職員甄試_電機(一)、電機(二)、儀電:1.電路學 2.電子學#111368
2022 年 · #111368
110年 - 110 經濟部所屬事業機構_新進職員甄試_電機(一)、電機(二)、儀電:1.電路學 2.電子學#103646
2021 年 · #103646
109年 - 109 經濟部所屬事業機構_新進職員甄試_電機、儀電:1.電路學 2.電子學#92825
2020 年 · #92825
108年 - 108 經濟部所屬事業機構_新進職員甄試_電機、儀電:1.電路學 2.電子學#80841
2019 年 · #80841
107年 - 107 經濟部所屬事業機構_新進職員甄試_電機、儀電:1.電路學 2.電子學#92331
2018 年 · #92331
107年 - 107 中華郵政股份有限公司_職階人員甄試_營運職/電機工程:電路學與電子學#68276
2018 年 · #68276