阿摩線上測驗
登入
首頁
>
國營事業◆1.電路學 2.電子學
>
105年 - 105 經濟部所屬事業機構_新進職員甄試_電機(甲)、儀電:1.電路學 2.電子學#60392
> 試題詳解
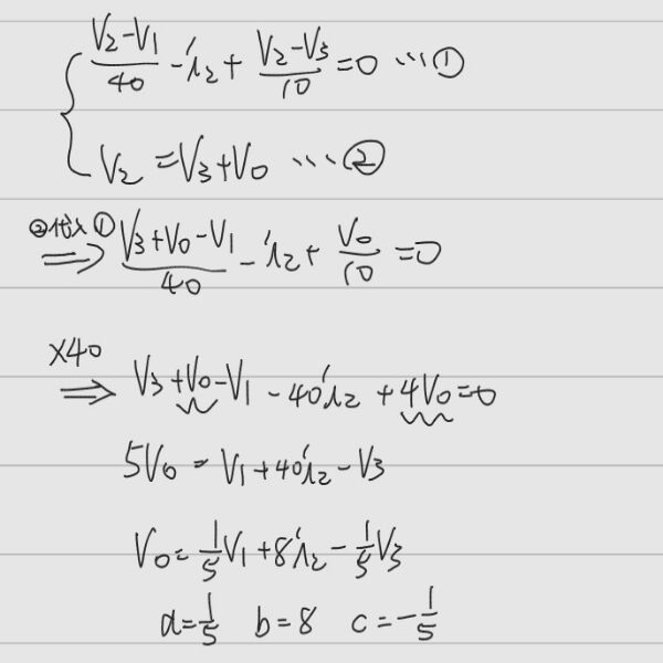
25. 右圖電路之
,求a+b+c=?
(A) 1
(B) 2
(C) 4 1
(D) 8
答案:
登入後查看
統計:
A(8), B(8), C(38), D(170), E(0) #1539309
詳解 (共 2 筆)
學覽風采
B1 · 2019/03/24
#3259486
(共 1 字,隱藏中)
前往觀看
3
1
gortsoa
B2 · 2025/04/07
#6363048
0
0
私人筆記 (共 2 筆)
傑K
2018/10/12
私人筆記#1049890
未解鎖
http://imgur.com/gal...
(共 32 字,隱藏中)
前往觀看
0
1
阿Bao
2020/11/14
私人筆記#2638208
未解鎖
(共 0 字,隱藏中)
前往觀看
0
0
相關試題
26. 如右圖之電路,在下列哪種條件下,其電壓增益值V ⁄V 與 C1 C2 頻率無關?(OP:理想運算放大器) VI (A) R1C2 = R2C1 (B) R1R2 = C1C2 (C) C1 = C2 (D) R1C1 = R2C2
#1539310
27. 如右圖之電路,流經Rf的電流值If為多少? (OP:理想運算放大器;D 1為二極體,其導通電 壓 = 0.7 V;VZ:稽納二極體的逆向崩潰電壓) (A)(B)(C)(D)
#1539311
28. 如右圖之電路,要確保此電路可以開始振盪,其條件 R2 為何?(OP:理想運算放大器) (A) (B)(C) (D)
#1539312
29. 轉導放大器(Transconductance Amplifier)的理想特性為何?( Ri:輸入阻抗;Ro:輸出阻抗) (A) (B)(C) (D)
#1539313
30. 一理想矽質 PN 介面的二極體,在T =300 K時 (VT= 26 mV) ,其逆向偏壓的飽和電流為,請問在順向偏壓+0.65 V 時的電流值為多少? (A) 1.44 mA (B) 2.88 mA (C) 3.44 mA (D) 4.05 mA
#1539314
31. 如右圖之電路,假設,所有的 MOSFET (Q1~Q4)的爾利電壓(Early Voltage)|VA | 50 V,且g m=0.5mA⁄V ,忽略基體效應(Body Effect),請問輸出電阻Ro的值為多少? (A) 116 MΩ (B) 126 MΩ(C) 256 MΩ (D) 502 MΩ
#1539315
32. 如右圖之電路,假設MOSFET Q1、Q2、Q3 之工 VDD 作點均在飽和區且忽略爾利效應(Early Effect), gm1= 0.5mA⁄V,Q3 與 Q2 的通道寬度比W 3⁄W2=1.2,試求此電路的小信號電壓放大倍數 vo/vi 等於多 少? (A) 70 (B) 80 (C) 90 (D) 100
#1539316
33. 如右圖之電路,假設,BJTQ1、Q2、Q3的電流增益β均為 80,V T=25 mV,且爾利電壓(Early Voltage)|VA | 100 V ,求Ro的電阻值為多少?(A) 191 MΩ (B) 291 MΩ (C) 391 MΩ (D) 491 MΩ
#1539317
34. 對一MOSFET 以一固定的vGS 電壓操作在飽和區,在vDS= 4 V時,= 2 mA,且vDS =8 V 時,= 2.1 mA,請問其爾利電壓(Early Voltage)|VA |為多少? (A) 70 V (B) 76 V (C) 80 V (D) 86 V
#1539318
35. 對一增強型的 PMOS 電晶體,其,爾利電壓(Early Voltage) |VA | 50 V,將閘極(G)端接地,源極(S)端接+ 5V,當汲極D端電壓 vD=+ 4 V時, 求其汲極電流值 為多少? (A) 0.14 mA (B) 0.27 mA (C) 0.40 mA (D) 0.59 mA
#1539319
相關試卷
114年 - 114 台灣電力公司_大學及研究所獎學金甄選試題_電驛:電路學、電子學及保護協調#137052
2025 年 · #137052
114年 - 114 經濟部所屬事業機構_新進職員甄試試題_電機、儀電:1 .電路學 2 .電子學#136976
2025 年 · #136976
113年 - 113 經濟部所屬事業機構_新進職員甄試_電機(一)、電機(二)、儀電:電路學、電子學#123749
2024 年 · #123749
112年 - 112 經濟部所屬事業機構_新進職員甄試試題_電機、儀電:1.電路學 2.電子學#116960
2023 年 · #116960
111年 - 111 經濟部所屬事業機構_新進職員甄試_電機(一)、電機(二)、儀電:1.電路學 2.電子學#111368
2022 年 · #111368
110年 - 110 經濟部所屬事業機構_新進職員甄試_電機(一)、電機(二)、儀電:1.電路學 2.電子學#103646
2021 年 · #103646
109年 - 109 經濟部所屬事業機構_新進職員甄試_電機、儀電:1.電路學 2.電子學#92825
2020 年 · #92825
108年 - 108 經濟部所屬事業機構_新進職員甄試_電機、儀電:1.電路學 2.電子學#80841
2019 年 · #80841
107年 - 107 經濟部所屬事業機構_新進職員甄試_電機、儀電:1.電路學 2.電子學#92331
2018 年 · #92331
107年 - 107 中華郵政股份有限公司_職階人員甄試_營運職/電機工程:電路學與電子學#68276
2018 年 · #68276