阿摩線上測驗
登入
首頁
>
教甄◆數學
>
112年 - 112 花蓮縣國民小學暨幼兒園教師聯合甄選試題:數學#114676
> 試題詳解
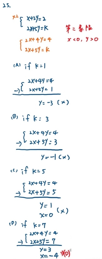
25.坐標平面上兩直線 x+2y=2 與 2x+5y=k 的交點在第二象限,下列何者可能是 k 的值?
(A)1
(B)3
(C)5
(D)7
答案:
登入後查看
統計:
A(57), B(62), C(71), D(236), E(0) #3113794
詳解 (共 3 筆)
阿琦
B2 · 2023/06/12
#5843514
(共 1 字,隱藏中)
前往觀看
15
0
paikeacaro
B1 · 2023/06/07
#5838053
x+2y=2 與 2x+5y=k 的交點...
(共 116 字,隱藏中)
前往觀看
10
1
Chen Chen
B3 · 2023/07/03
#5867773
9
0
相關試題
1. 針對以下三種分數的學習:甲、對等值分數的認識;乙、能用通分做異分母分數的加減;丙、能用約分、擴分處理等值分數並做比 較。請問就其教材內容的安排先後次序,最合適的為何者? (A)甲→丙→乙 (B)乙→甲→丙 (C)丙→甲→乙 (D)丙→乙→甲
#3113770
2. 關於透過感官量建立量感的相關學習活動中,以下哪種學習內容的量感建立與其他內容的量感建立方式不同? (A)面積 (B)容量 (C)角度 (D)重量
#3113771
3. 下列何者最適宜做為乘法交換律的啟蒙教學? (A)一隻青蛙 4 條腿,6 隻青蛙幾條腿? (B)小明有 4 顆彈珠,小強的彈珠是小明的 6 倍,小強有幾顆彈珠? (C)教室裡的座位橫著數有 5 排、直著數有 6 排,教室裡有多少個座位? (D)從學校到超市有 2 條路徑,從超市到公車站有 3 條路徑,從學校經超市到公車站有幾種路徑?
#3113772
4. 關於小學一年級數的學習,其先後順序的安排何者正確? (A)唱數→倒數→跳數 (B)跳數→唱數→基數 (C)唱數→序數→基數 (D)跳數→序數→基數
#3113773
5. 透過「分裝」的情境學習除法,其中涉及的基本概念是什麼? (A)乘除互逆 (B)等分除 (C)包含除 (D)除法原理
#3113774
6. 關於乘法的學習,常見各種不同的學習脈絡設計:甲、一枝鉛筆 6 元,買了 7 枝,需付多少元?乙、有一四連棋盤,直向有 6 格棋 格,橫向有 7 格棋格,請問整個棋盤有多少棋格?丙、一小盤子裝了 6 顆李子,連續數了 7 盤,相當於是把 6 連加 7 次,會有多少顆 李子?。針對以上教學脈絡合理的先後排序為何? (A) 丙→乙→甲 (B) 丙→甲→乙 (C) 乙→甲→丙 (D) 甲→乙→丙
#3113775
7. 在進行相等比(a:b=c:d)的運算教學時,如「( ):300=6:2」,下列何者不宜在國小階段處理? (A) ( )×2=300×6 (即 b×c=a×d) (B) 6÷2×300 (即 a÷b=c÷d) (C) 300÷2×6 (即 b÷d=a÷c) (D) ( ):300=3:1,( )為 300 的 3 倍
#3113776
8. 在「小華買 4 張貼紙花了 16 元,小明有 58 元,如果買相同的貼紙 2 張,會剩下幾元?」的問題中,小明的作法是:58-16÷4×2= 58-16÷8=58-2=56。下列敘述何者正確? (A)算法和答案都錯誤 (B)算法有錯誤,但答案正確 (C)算法雖正確,但答案錯誤 (D)算法和答案都正確
#3113777
9. 請將以下學習內容進行適切的教學先後排序:甲、認識兩數互質,乙、將分數化為最簡分數,丙、認識公因數與公倍數。 (A)甲→乙→丙 (B)甲→丙→乙 (C)丙→甲→乙 (D)丙→乙→甲
#3113778
10. 在「果園採收了 214 顆哈密瓜,每 2 顆裝成一袋,每 3 袋裝成一盒,最多可以裝成幾盒?剩下幾顆?」的問題中,學生有 「214÷2÷3=107÷3=35⋯2」、「214÷(2×3)=214÷6=35⋯4」兩種算法,下列對於餘數不同的說法何者正確? (A)214÷2÷3 不等於 214÷(2×3) (B)總有一個是算錯的 (C)第二個算法才是對的,第一個算法錯 (D)第一個算法的餘數是 2 袋,也就是 4 顆,其實和第二個算法結果一樣
#3113779
相關試卷
115年 - 115-1 國立嘉科實驗高級中學_教師甄選試題_高中部:數學科#138615
2026 年 · #138615
115年 - 115-1 臺北市立大同高級中學_教師甄選初選試題:高中數學科#138591
2026 年 · #138591
115年 - 115-1 臺北市立大安高工教師甄選試題:數學科#138455
2026 年 · #138455
115年 - 115-1 國立臺灣師範大學附屬高級中學_專任教師甄選試題:數學科#138411
2026 年 · #138411
115年 - 115-1 國立臺灣師範大學附屬高級中學_專任教師甄選試題:數學科#138410
2026 年 · #138410
115年 - 115-1 國立臺灣師範大學附屬高級中學_專任教師甄選試題:數學科#138409
2026 年 · #138409
115年 - 115-1 臺北市立麗山高級中學_正式教師甄選試題:數學科#138397
2026 年 · #138397
115年 - 115-1 國立臺南一中_教師甄選初試試題:數學#138376
2026 年 · #138376
115年 - 115 國立嘉科實驗高級中學_國小部普通班教師甄選試題:數學#138356
2026 年 · #138356
115年 - 115-1 國立中央大學附屬中壢高級中學教師甄選試題:數學科#138235
2026 年 · #138235