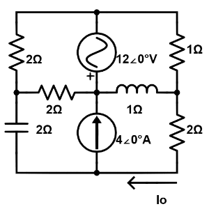
29 假設電源頻率均為 15.915Hz,試求電流 IO:
(A) 5.83∠-12.54°A
(B)1.52∠45.12°A
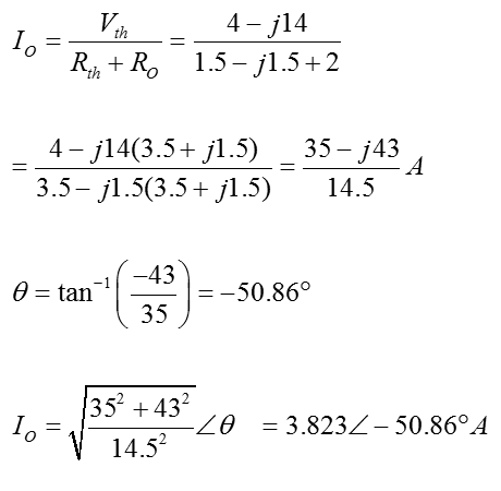
(C)3.82∠-50.86°A
(D)7.86∠32.46°A

(A) 5.83∠-12.54°A
(B)1.52∠45.12°A
(C)3.82∠-50.86°A
(D)7.86∠32.46°A
答案:登入後查看
統計: A(87), B(118), C(201), D(50), E(0) #649149
統計: A(87), B(118), C(201), D(50), E(0) #649149
詳解 (共 10 筆)
#985135
原電路之圖形

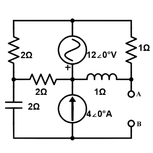
拆除IO上之電阻,化戴維寧等效電路

等效電阻Rth = 1.5– j1.5Ω

電流源對電路的影響

VR = 4 V
VC = – j8 V
電壓源對電路的影響

VL = 6 + j6 V
VR = 6 V
等效電壓Vth = ( 4 – j8 ) + [ 6 – (6 + j6 ) ] = 4 – j14 V


37
0
#5301688
考試看到這種題目直接猜了,除非你每一次寫完考卷剩下的時間很多,再來想這種題目怎麼解。
2
0
#972267
電路圖有爭議,不確定中心點是否有連接
如要解題則利用重疊定理
分別計算電壓源、電流源對電路的影響
利用戴維寧、諾頓等效電路計算IO
如要解題則利用重疊定理
分別計算電壓源、電流源對電路的影響
利用戴維寧、諾頓等效電路計算IO
2
0
#1073101
中頻分析
XC=1/2πfC 電容抗趨近於0Ω才可忽略
1
0
#1072953
請問,為什麼Vab看進去的等效電壓也要把Vc算進去?
如果單純把它拿掉拆開看等效電阻,-j2Ω不是無效元件嗎?
也就是看進去等效電壓是VR+VL,這部分不是很了解,能否有前輩指教,謝謝~
0
0
#1073472
了解,這題還真難。
0
0
#971972
請問這種題目怎解
0
0