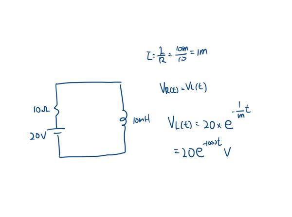
29 如圖所示之 RL 並聯電路,在時間 t = 0 時,開關 SW 閉合,若外加直流電流源 I = 2 安培,求電阻上之電壓為多少伏特?

(A) 20e-1000t
(B) 20(1-e-1000t)
(C) 20e-100t
(D) 20(1-e-100t)
答案:登入後查看
統計: A(209), B(161), C(34), D(25), E(0) #3049448
統計: A(209), B(161), C(34), D(25), E(0) #3049448
詳解 (共 1 筆)
#5968282

4
0