阿摩線上測驗
登入
首頁
>
高中(學測,指考)◆數學
>
102年 - 102 大學入學考試中心_學科能力測驗:數學#11160
> 試題詳解
29.
(A)1
(B)2
(C)3
(D)4
(E)5
答案:
登入後查看
統計:
A(2), B(1), C(4), D(5), E(0) #462892
詳解 (共 1 筆)
轟天雷
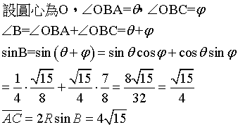
B1 · 2016/04/04
#1302057
0
0
私人筆記 (共 1 筆)
Terry Tung
2023/04/07
私人筆記#5000487
未解鎖
(共 1 字,隱藏中)
前往觀看
0
0
相關試題
1.學校規定上學期成績需同時滿足以下兩項要求,才有資格參選模範生。 一、國文成績或英文成績70分(含)以上; 二、數學成績及格。 已知小文上學期國文65分而且他不符合參選模範生資格。請問下列哪一個選項的推論是正確的? (A)小文的英文成績未達70分(B)小文的數學成績不及格(C)小文的英文成績70分以上但數學成績不及格(D)小文的英文成績未達70分且數學成績不及格(E)小文的英文成績未達70分或數學成績不及格
#462864
2.令 a = 2.610 - 2.69,b = 2.611 - 2.610,。請選出正確的大小關係。 (A) a > b > c (B) a > c > b (C) b > a > c (D) b > c > a (E) c > b > a
#462865
3.袋子裡有3顆白球, 2顆黑球。由甲、乙、丙三人依序各抽取1顆球,抽取後不放回。若每顆球被取出的機會相等,請問在甲和乙抽到相同顏色球的條件下,丙抽到白球之條件機率為何?(A) 1/3 (B) 5/12 (C) 1/2(D) 3/5 (E) 2/3
#462866
4.已知以下各選項資料的迴歸直線(最適合直線)皆相同且皆為負相關,請選出相關係數最小的選項。(A)(B)(C)(D)(E)
#462867
5.將24顆雞蛋分裝到紅、黃、綠的三個籃子。每個籃子都要有雞蛋,且黃、綠兩個籃子裡都裝奇數顆。請選出分裝的方法數。(A) 55(B) 66(C) 132(D) 198(E) 253
#462868
6.莎韻觀測遠方等速率垂直上升的熱氣球。在上午10:00 熱氣球的仰角為 30o,到上午 10:10仰角變成34o 。請利用下表判斷到上午10:30 時,熱氣球的仰角最接近下列哪一個度數?(A)39° (B)40° (C)41° (D)42° (E)43°
#462869
複選題7. 設 n 為正整數,符號代表矩陣自乘 n 次。令,請選出正確的選項。 (A) a2 = 1 (B) a1,a2,a3 為等比數列 (C) d1,d2,d3為等比數列 (D) b1,b2,b3為等差數列 (E) c1,c2,c3為等差數列
#462870
複選題8.設 a > 1 > b > 0,關於下列不等式,請選出正確的選項。 (A) (B) (C) (D) (E)
#462871
複選題9.設 a < b < c。已知實係數多項式函數 y = f(x) 的圖形為一開口向上的拋物線,且與 x 軸交於(a,0)、(b,0) 兩點;實係數多項式函數 y = g(x) 的圖形亦為一開口向上的拋物線,且跟 x 軸相交於(b,0)、(c,0) 兩點。請選出 y = f(x) + g(x) 的圖形可能的選項。 (A)水平直線 (B)和 x 軸僅交於一點的直線 (C)和 x 軸無交點的拋物線 (D)和 x 軸僅交於一點的拋物線 (E)和 x 軸交於兩點的拋物線
#462872
複選題10.坐標平面上考慮兩點Q1(1,0),Q2(-1,0) 。在下列各方程式的圖形中,請選出其上至少有一點 P 滿足內積的選項。 (A) (B) (C) (D) (E)
#462873
相關試卷
115年 - 115 財團法人大學入學考試中心基金會_學科能力測驗試題:數學B#137079
2026 年 · #137079
115年 - 115 財團法人大學入學考試中心基金會_學科能力測驗試題:數學A#137066
2026 年 · #137066
114年 - 114 財團法人大學入學考試中心基金會_學科能力測驗試題:數學B#125190
2025 年 · #125190
114年 - 114 財團法人大學入學考試中心基金會_學科能力測驗試題:數學A#125189
2025 年 · #125189
113年 - 113 北北基高級中等學校_學科能力測驗聯合模擬考試:數學#123743
2024 年 · #123743
113年 - 113 大學入學考試中心_學科能力測驗:數學A#118746
2024 年 · #118746
113年 - 113 大學入學考試中心_學科能力測驗:數學B#118743
2024 年 · #118743
112年 - 112 大學入學考試中心_學科能力測驗:數學A#113017
2023 年 · #113017
112年 - 112 大學入學考試中心_學科能力測驗:數學B#112994
2023 年 · #112994
111年 - 111 大學入學考試中心_學科能力測驗:數學B#105931
2022 年 · #105931