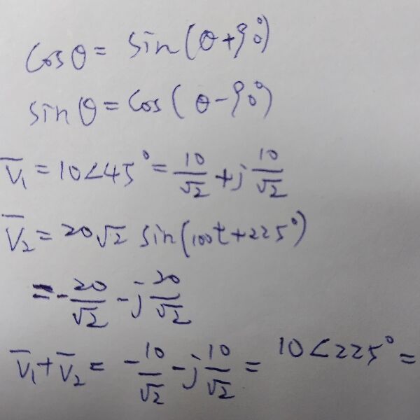
31兩個弦波電壓分別是 v1 =
sin(100t + 45°)V 及 v2 =
cos(100t + 135°)V ,則 v1+v2 為下列何者?
(A) v1 + v2 =
sin(100t + 180°)V
(B) v1 + v2 =
sin(100t + 225°)V
(C) v1 + v2 =
sin(100t + 225°)V
(D) v1 + v2 =
sin(100t + 90°)V
答案:登入後查看
統計: A(35), B(194), C(63), D(69), E(0) #3118469
統計: A(35), B(194), C(63), D(69), E(0) #3118469
詳解 (共 1 筆)
#5974409


11
0