阿摩線上測驗
登入
首頁
>
台水評價◆基本電學
>
101年 - 101 台灣自來水公司評價職位人員甄試:基本電學#72730
> 試題詳解
試題詳解
試卷:
101年 - 101 台灣自來水公司評價職位人員甄試:基本電學#72730 |
科目:
台水評價◆基本電學
試卷資訊
試卷名稱:
101年 - 101 台灣自來水公司評價職位人員甄試:基本電學#72730
年份:
101年
科目:
台水評價◆基本電學
39.有一只電熱器,額定電壓及功率為 220V/800W,當接於 110V 的電源時,則輸出功率為多少瓦特(W)?
(A)200
(B)400
(C) 600
(D) 800
正確答案:
登入後查看
詳解 (共 1 筆)
長貓
B1 · 2019/02/13
推薦的詳解#3196784
未解鎖
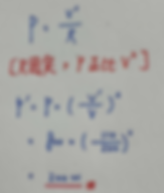
P=V2/R R=2202/800當接於...
(共 52 字,隱藏中)
前往觀看
1
0
私人筆記 (共 3 筆)
【給你考運】勞贖
2023/02/24
私人筆記#4906499
未解鎖
個人答案試寫(僅供參考)
(共 12 字,隱藏中)
前往觀看
3
0
Terry Tung
2022/11/28
私人筆記#4727630
未解鎖
(共 0 字,隱藏中)
前往觀看
0
0
J
2023/02/20
私人筆記#4897666
未解鎖
(共 0 字,隱藏中)
前往觀看
0
0