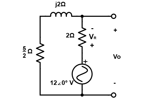
40如圖所示電路,試求電壓Vo?
(A) 17.5
35.4°V
(B) 3.2
28.7°V
(C) 7.8
14.7°V
(D) 65.25
18.2°V


答案:登入後查看
統計: A(80), B(128), C(409), D(29), E(0) #757827
統計: A(80), B(128), C(409), D(29), E(0) #757827
詳解 (共 10 筆)
#1055786
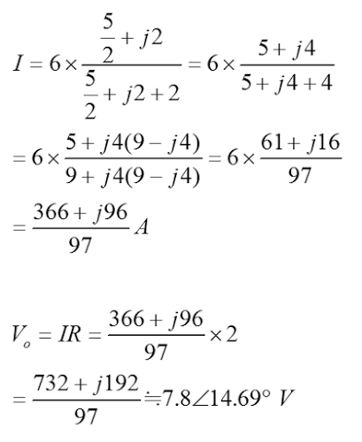
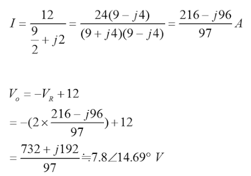
原電路圖形
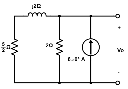
簡化電路,電壓源轉電流源
流經2Ω之電流

另一解,簡化電路
迴路電流
36
0
#1051944
左邊電路簡化成(4-j2//4+j2)+2=5/2+2再用密爾門定理求vo可以嗎?
6
2
#1050566
有哪位大大可以幫忙解一下這題嗎?
5
2
#3897310
這題數字很良心了,傻了才放棄,虛數全部畢氏定理後算有效值就有得選
3
0
#5141838

2
0
#5141855

1
0