49、若m和n都是大於5的任意質數,請問m4−n4一定能被以下哪個數整除?
(A) 32
(B)48
(C)60
(D)80
答案:登入後查看
統計: A(39), B(48), C(57), D(54), E(0) #3269225
統計: A(39), B(48), C(57), D(54), E(0) #3269225
詳解 (共 2 筆)
#6399967

重點來了:
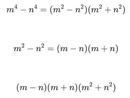
m、n 是 大於 5 的質數 → 一定是奇數
m、n 是 大於 5 的質數 → 一定是奇數
所以三個因數都是奇數
-
m - n:奇 - 奇 = 偶
-
m+ n:奇 + 奇 = 偶
-
m^2 + n^2:奇² + 奇² = 奇 + 奇 = 偶
所以整個乘積是:偶 × 偶 × 偶 = 含大量的 2!
「那三個偶數乘起來,最少有幾個 2?」
-
m - n:奇 - 奇 = 偶→ 至少有一個因數 2
-
m+ n:奇 + 奇 = 偶→ 再一個 2
-
m^2 + n^2:奇² + 奇² = 奇 + 奇 = 偶→ 又一個 2
→ 偶數 × 偶數 × 偶數
→ 至少含有 2^3,實際有 2^4
→ 至少含有 2^3,實際有 2^4
選項:
-
32(= 2^5)
-
48(= 2^4×3)
-
60(= 2^2×3×5)
-
80(= 2^4 ×5)
從48和80中選答案,
GPT是這麼說的:雖然不是每次出現,但5出現的機率遠比 3 高
所以答案是D
4
0