阿摩線上測驗 登入

試題詳解

試卷:105年 - 105-2 專技高考_藥師、藥師(一):藥劑學(包括生物藥劑學)#54809 | 科目:專技 - 藥劑學(包括生物藥劑學)

試卷資訊

試卷名稱:105年 - 105-2 專技高考_藥師、藥師(一):藥劑學(包括生物藥劑學)#54809

年份:105年

科目:專技 - 藥劑學(包括生物藥劑學)

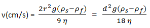
9.依Stokes' law,顆粒在稀薄懸浮液中自由下降,其下降速率與何項成反比關係?
(A)顆粒直徑大小
(B)顆粒之密度大小
(C)分散媒液之密度
(D)分散媒液之黏度

正確答案:登入後查看

詳解 (共 6 筆)

推薦的詳解#2268865
未解鎖
沈降速率跟直徑平方or半徑平方都是成正比
(共 22 字,隱藏中)
前往觀看
23
1
推薦的詳解#2876467
未解鎖
【記】只有黏度跟沈降速率成反比。V=[d...
(共 355 字,隱藏中)
前往觀看
21
1
推薦的詳解#1596042
未解鎖
r:顆粒直徑 (和v成正比)p:密度n:...
(共 39 字,隱藏中)
前往觀看
20
4
推薦的詳解#5308226
未解鎖
樓上應該與密度「差」有關係公式中有p1-...
(共 24 字,隱藏中)
前往觀看
2
0
推薦的詳解#6495414
未解鎖
stoke’s law —------...



(共 3819 字,隱藏中)
前往觀看
1
0
推薦的詳解#4158947
未解鎖
所以"分散媒液"到底是分散相?連續相?顆...
(共 24 字,隱藏中)
前往觀看
0
3