阿摩線上測驗
登入
首頁
>
教甄◆數學
>
112年 - 112 中區縣市政府教師甄選策略聯盟:數學#115785
> 試題詳解
試題詳解
試卷:
112年 - 112 中區縣市政府教師甄選策略聯盟:數學#115785 |
科目:
教甄◆數學
試卷資訊
試卷名稱:
112年 - 112 中區縣市政府教師甄選策略聯盟:數學#115785
年份:
112年
科目:
教甄◆數學
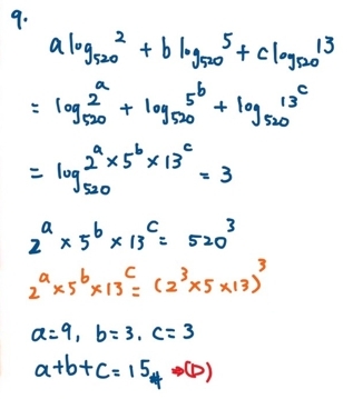
9. 已知a,b,c為正整數,若 a log
520
2+b log
520
5+ c log
520
13= 3,求 a +b +c。
(A) 5
(B) 6
(C) 12
(D) 15
正確答案:
登入後查看
詳解 (共 4 筆)
Alice113桃園上榜
B1 · 2023/07/20
推薦的詳解#5890356
未解鎖
(共 1 字,隱藏中)
前往觀看
22
0
上岸才是開始
B3 · 2023/07/23
推薦的詳解#5893790
未解鎖
(共 1 字,隱藏中)
前往觀看
10
0
Bull叫human渡M3
B5 · 2024/05/08
推薦的詳解#6090918
未解鎖
(共 1 字,隱藏中)
前往觀看
10
0
超強筆記 最短捷徑 IG:insistteacher520
B6 · 2024/11/30
推薦的詳解#6261101
未解鎖
YT試題解說 https://www....
(共 54 字,隱藏中)
前往觀看
9
0