阿摩線上測驗
登入
首頁
>
測量平差法
>
111年 - 111 專技高考_測量技師:測量平差法#111958
> 申論題
題組內容
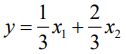
三、若
, x
1
= 3.000 ± 0.100 , x
2
= 6.000 ± 0.100 ,
= 0
(一)計算 y 最或是值以及標準差?(有效位數至小數點後第三位)
相關申論題
(一)試問如何獲得先驗及後驗未知參數標準差?(10 分)
#479646
(二)說明先驗及後驗未知參數標準差在品質上之意涵?(10 分)
#479647
(三)若平差所獲致之後驗未知參數標準差顯著異於先驗未知參數標準差, 試分析可能原因?(10 分)
#479648
二、試分析最小二乘法之直接觀測、間接觀測及條件觀測各模式之改正數總 和是否為零?(必須詳細說明才予以計分,20 分)
#479649
(二)計算(x1 與 y 的相關係數)及(x2 與 y 的相關係數)?(有效位數至小數點後第三位) (15 分)
#479651
(一)此四點高程最高者是何點?(5 分)
#479652
(二)在 A、B、C 及 D 點高程均未知的情況下,如何進行觀測量平差?並請列出欲進行平差之方程式。(20 分)
#479653
(二)在整個施測過程中由於稜鏡常數設定相同的系統誤差,問有幾個獨立未知數?(3 分)請說明之。 (4 分)請自行選定未知數並列出所有的觀測方程式。(6 分)
#557451
(一)假設沒有系統誤差情況下,請問有幾個獨立未知數?(2 分)請說明之。(4 分)請自行選定未知數並列出所有的觀測方程式。(6 分)
#557450
三、由 A、B、C 及 D 四個點構成一水準網,A 至 B 的高程差觀測量以ΔHAB(m) 表示,水準路線長以 SAB(km)表示,其他的觀測量分別為ΔHBC(m)及 SBC(km)、ΔHAC(m)及 SAC(km)、ΔHAD(m)及 SAD(km)、ΔHBD(m)及 SBD(km) 與ΔHCD(m)及 SCD(km)。A、B、C 及 D 四點的高程皆為未知,若不以間 接觀測平差計算。是否可以計算所有觀測量的改正數?請說明其理由。 (6 分)請問有幾個條件數?請說明其理由。(6 分)請推導平差計算公式(即條件觀測平差計算公式)。(7 分)請列出所有的條件方程式。 (6 分)
#557449
相關試卷
114年 - 114 專技高考_測量技師:測量平差法#133674
114年 · #133674
113年 - 113 專技高考_測量技師:測量平差法#123916
113年 · #123916
112年 - 112 地方政府特種考試_四等_測量製圖:測量平差法概要#118357
112年 · #118357
112年 - 112 地方政府特種考試_三等_測量製圖:測量平差法#118336
112年 · #118336
112年 - 112 專技高考_測量技師:測量平差法#117672
112年 · #117672
112年 - 112 原住民族特種考試_四等_測量製圖:測量平差法概要#116432
112年 · #116432
112年 - 112 高等考試_三級_測量製圖:測量平差法(包括誤差理論及實務)#115538
112年 · #115538
112年 - 112 普通考試_測量製圖:測量平差法概要#115315
112年 · #115315
111年 - 111 地方政府特種考試_三等_測量製圖:測量平差法#112400
111年 · #112400
111年 - 111 地方政府特種考試_四等_測量製圖:測量平差法概要#112399
111年 · #112399