阿摩線上測驗 登入

申論題資訊

試卷:111年 - 111 地方政府特種考試_三等_經建行政、農業行政:統計學#112617
科目:統計學
年份:111年
排序:0

題組內容

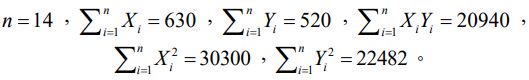
二、假設Xi為解釋變數、Yi為反應變數,且i=1,2,...,n。為了描述兩變數之關聯性,擬建立簡單線性迴歸模型:Yi01Xii,其中ε1 , … , εn為獨 立且相同 N (0,σ2) 分佈之誤差。請利用下方訊息回答問題:
639ad8dadb9ad.jpg

申論題內容

(一)試計算並寫出最小平方估計方程式。(10 分)