題組內容
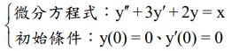
二、考慮如下所示之初始值問題(initial-value problem):

(一)請求出本題目中之微分方程式的齊次解(homogeneous solution) ,該齊 次解應為一般形式(general form)解。
詳解 (共 1 筆)
詳解
y"+3y'+2y=x
λ2+3λ+2=0
λ=-2, -1
yh=c1e-2x+c2e-x