題組內容
一、欲瞭解食品近一年價格波動情況,而至市場實地訪查,得下列兩類食品資料:
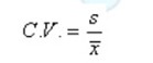
⑴求兩者價格的全距和變異係數(coefficient of variation)(8 分)
詳解 (共 1 筆)
詳解
雞蛋全距 32-24=9

變異係數=2.72/29.16*100%=9.33%
牛肉全距=120-98=22
變異係數=6.63/109.33*100%=6.06%