題組內容
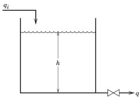
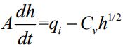
二、考慮下圖中具出口管線手動閥的緩衝槽。若出口流量與液位高度平方根成正比,則相應動態模式可寫為
假設系統在操作開始時處於穩態,即 

(一)推導轉換函數
,將此轉換函數改寫成具穩態增益(steady-state gain)及時間常數(time constant)的標準型式。(9 分)
二、考慮下圖中具出口管線手動閥的緩衝槽。若出口流量與液位高度平方根成正比,則相應動態模式可寫為
假設系統在操作開始時處於穩態,即 

(一)推導轉換函數
,將此轉換函數改寫成具穩態增益(steady-state gain)及時間常數(time constant)的標準型式。(9 分)