所屬科目:技師◆程序控制
(一)推導轉換函數,將此轉換函數改寫成具穩態增益(steady-state gain)及時間常數(time constant)的標準型式。(9 分)
(一)轉換函數。(8 分)
(二)利用下列史密斯(Smith)法關係圖找出二階(second order)模型中參數。(8 分)
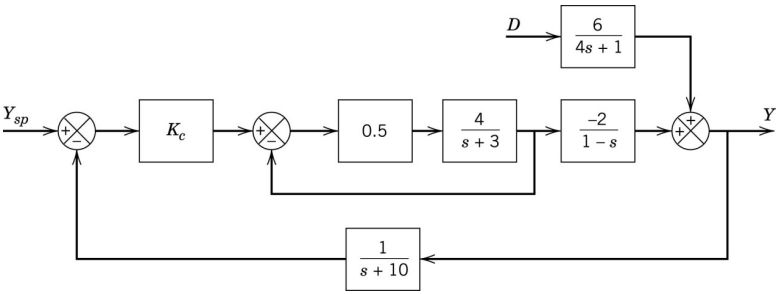
六、如下圖所示為一回饋控制系統的方塊圖,請決定使閉環路系統穩定之Kc 值範圍。(12 分)