阿摩線上測驗
登入
首頁
>
工程數學(應用數學, 線性代數、微分方程、複變函數與機率)
>
112年 - 112 鐵路、國家安全情報特種考試_高員三級、三等考試_電力工程、電子組(選試英文):工程數學#114964
> 申論題
題組內容
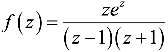
四、複數函數
:(每小題 5 分,共 10 分)
(一)求 f(z)在 z=1與 z=-1 的留數(residue) 。
相關申論題
一、求微分方程式(Differential Equations)之通解(general solution)。(15 分)
#490710
(一)求矩陣(matrix)A 之特徵值(eigenvalues)與特徵向量(eigenvectors)。
#490711
(二)求矩陣函數 eAt 。
#490712
(三)求系統方程式( system equations )之通解(general solution)。
#490713
(一)求此隨機變數 X 之均值(mean)或期望值(expected value): μX 。
#490714
(二)求此隨機變數 X 之標準差(standard deviation)或變異數的開根號(square root of the variance): σX 。
#490715
(二)閉合曲線(closed curve)C 為圓 |z|=2;利用柯西(Cauchy)留數定理(Residue Theorem)求複數線積分
#490717
(二)求得矩陣 A 之零空間(Null Space)N( A )。(10 分)
#557492
(一)求得線性方程式 Ax=b 之完整解(Complete Solution) 。(20 分)
#557491
四、假設週期函數f(x)之週期為 2π,f(x)=。計算f(x)之傅氏級數(Fourier Series)。(20 分)
#557490
相關試卷
114年 - 114 專技高考_電機工程技師:工程數學(包括線性代數、微分方程、複變函數與機率)#133679
114年 · #133679
114年 - 114 專技高考_電子工程技師:工程數學(包括線性代數、微分方程、向量分析、複變函數與機率)#133677
114年 · #133677
114年 - 114 調查特種考試_三等_電子科學組:工程數學#129578
114年 · #129578
114年 - 114 國家安全情報特種考試_三等_電子組(選試英文):工程數學#127780
114年 · #127780
113年 - 113 專技高考_電子工程技師:工程數學(包括線性代數、微分方程、向量分析、複變函數與機率)#123976
113年 · #123976
113年 - 113 專技高考_電機工程技師:工程數學(包括線性代數、微分方程、複變函數與機率)#123971
113年 · #123971
113年 - 113 調查特種考試_三等_電子科學組:工程數學#122110
113年 · #122110
113年 - 113 身心障礙特種考試_三等_電力工程:工程數學#119517
113年 · #119517
112年 - 112 地方政府特種考試_三等_電力工程、電子工程:工程數學#118376
112年 · #118376
112年 - 112 專技高考_電機工程技師:工程數學(包括線性代數、微分方程、複變函數與機率)#117639
112年 · #117639