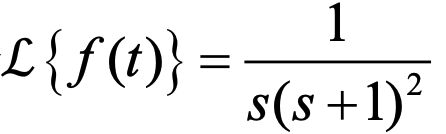
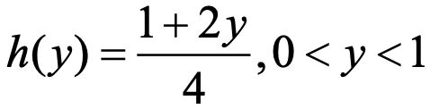
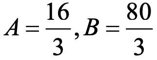
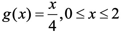
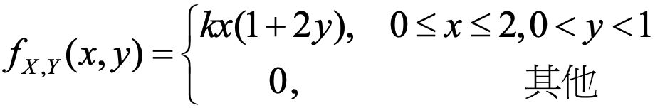
12 函數
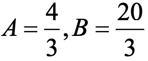
,若在 t=0 處,f(t)的傅立葉餘弦級數(Fourier cosine series)收斂到 A,傅立葉正弦級數(Fourier sine series)收斂到 B;在
處,f(t)的傅立葉餘弦級數(Fourier cosine series)收斂到 C,傅立葉正弦級數(Fourier sine series)收斂到 D。則 A,B,C,D 各值為何? (A) A=0, B=0, C=0, D=0 (B) A=2, B=0, C=-2, D=0 (C) A=0, B=2, C=-2, D=0 (D) A=2, B=0, C=2, D=0 1