阿摩線上測驗
登入
首頁
>
統計學
>
110年 - 110 關務特種考試_四等_關稅統計:統計學概要#98241
> 申論題
題組內容
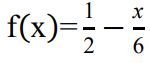
二、令隨機變數 X代表某位業務員一天所銷售的車險保單數目。已知X的機率函數(probability mass function)為
, = 0, 1, 2。
(一)試問此業務員至少賣出兩份車險保單的機率為何?
相關申論題
一、以下是三筆二維資料的散布圖,試從 -1.0,-0.81,-0.43,0.22,0.68,0.97 六個數字當中,選擇三筆資料的相關係數。
#410816
(二)試求車險保單數的期望值 E(X)。
#410818
(三)試求車險保單數的變異數 Var(X)。
#410819
(四)計算期望值 E(3X−5)。
#410820
(五)計算變異數 Var(6X−2021)。
#410821
(一)拒絕域法(critical region method)。
#410822
(二) P 值法(p-value approach)。
#410823
(三)信賴區間法(confidence interval method)。
#410824
(一) 對於咖啡銷售量和氣溫兩個變數而言,試問那個變數是自變數 (independent variable)?那個變數是依變數(dependent variable)?
#410825
(二)試求兩變數的簡單線性迴歸方程式 。
#410826
相關試卷
115年 - 115 身心障礙特種考試_四等_經建行政:統計學概要#138995
115年 · #138995
115年 - 115 關務特種考試_三等_關稅統計(選試英文):統計學#138987
115年 · #138987
115年 - 115 身心障礙特種考試_三等_統計:統計學#138977
115年 · #138977
115年 - 115 關務特種考試_四等_關稅統計(選試英文):統計學概要#138961
115年 · #138961
115年 - 115 身心障礙特種考試_三等_經建行政:統計學#138960
115年 · #138960
114年 - 114 地方政府公務、離島地區公務特種考試_三等_經建行政、農業行政:統計學#134798
114年 · #134798
114年 - 114 地方政府公務、離島地區公務特種考試_四等_經建行政:統計學概要#134781
114年 · #134781
114年 - 114 地方政府公務特種考試_三等_統計:統計學#134714
114年 · #134714
114年 - 114 地方政府公務特種考試_四等_統計:統計學概要#134710
114年 · #134710
114年 - 114 公務升官等考試_薦任_經建行政、工業行政:統計學#133268
114年 · #133268