題組內容
二、今有一二元通訊系統,此系統每個位元傳輸時間為T ,當傳輸資訊為 1 時,此系統會送出振幅為 2 的方波,當傳輸資訊為 0 時,此系統會送出振幅為−2的方波。假設通道為加成性高斯白雜訊通道且雜訊的功率頻譜密度為 N0/2,則在接收端收到的資訊為:
請回答下列問題:
(一) 為一高斯隨機變數,請求出 的平均值跟變異數。(10 分)
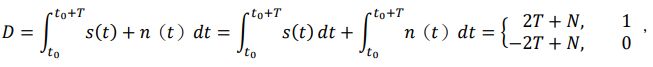
(提示:
)
二、今有一二元通訊系統,此系統每個位元傳輸時間為T ,當傳輸資訊為 1 時,此系統會送出振幅為 2 的方波,當傳輸資訊為 0 時,此系統會送出振幅為−2的方波。假設通道為加成性高斯白雜訊通道且雜訊的功率頻譜密度為 N0/2,則在接收端收到的資訊為:
請回答下列問題:
(一) 為一高斯隨機變數,請求出 的平均值跟變異數。(10 分)
(提示:
)