阿摩線上測驗
登入
首頁
>
技師◆流體力學與流體機械
>
113年 - 113 專技高考_機械工程技師:流體力學與流體機械#123970
> 申論題
題組內容
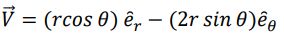
三、一速度場之表示式
請回答下列問題:
(三)寫出流線函數(stream function)存在之條件,並據以判斷流線函數是否存在於此流場中?如果存在請寫出流線函數。
相關申論題
(一)寫出噴嘴和皮托管其背後的應用理論,並列出該理論的所有假設。
#526965
(二)繪出利用噴嘴來量測體積流率的架構,並描述如何執行。
#526966
(三)繪出利用皮托管量測體積流率的架構,並描述如何執行。
#526967
(四)請比較兩種量測方法的優缺點,如準確度、可重複性、所需量測時間、經濟性等,並列出注意事項以確保量測結果之正確性。
#526968
(五)當管路流為完全發展(fully-developed)的層流(laminar flow)時,有一利用皮托管簡單快速方法進行流量測試,請寫出如何進行量測?以及如何用測量數據來計算出流率?
#526969
二、由實驗得知水平管(horizontal pipe)的壓力損失(pressure loss, Δp)與管路之直徑(D)、長度(ℓ) 、表面粗糙度(surface roughness, ε )、流體的摩擦係數(dynamic viscosity, μ)、密度(ρ)及平均速度(average velocity, V)有關,故其函數形式可表為△p=E(D,ℓ,ε,μ,ρ,V) ,請藉由因次分析(dimensional analysis)方法,選取流體平均速度、流體密度、管路直徑為重複參數(repeating parameters),寫出其無因次參數組合。 (15 分)
#526970
(一)導出div之表示式,並判斷此流場是否為不可壓縮流(incompressible flow) 。
#526971
(二)導出之表示式,並判斷流場是否為無漩流(irrotatioal flow)。
#526972
(四)請判斷下面兩個點:是否位於同一流線?兩個點如果位於兩條流線上,請計算出通過這兩條流線間之體積流率(volumeflow rate)。註:極座標之相關表示式為
#526974
(一)當閘門關閉(close)時,需要多大力量(force)以固定此閘門。 (5 分)
#526975
相關試卷
114年 - 114 專技高考_機械工程技師:流體力學與流體機械#133682
114年 · #133682
114年 - 114 專技高考_冷凍空調工程技師:流體力學與流體機械#133673
114年 · #133673
113年 - 113 專技高考_機械工程技師:流體力學與流體機械#123970
113年 · #123970
113年 - 113 專技高考_冷凍空調工程技師:流體力學與流體機械#123961
113年 · #123961
112年 - 112 專技高考_機械工程技師:流體力學與流體機械#117662
112年 · #117662
112年 - 112 專技高考_冷凍空調工程技師:流體力學與流體機械#117610
112年 · #117610
111年 - 111 專技高考_冷凍空調工程技師:流體力學與流體機械#111949
111年 · #111949
111年 - 111 專技高考_機械工程技師:流體力學與流體機械#111948
111年 · #111948
110年 - 110 專技高考_機械工程技師:流體力學與流體機械#104180
110年 · #104180
110年 - 110 專技高考_冷凍空調工程技師:流體力學與流體機械#104172
110年 · #104172