題組內容
四、使用擴散技術(Diffusion technology)將矽(Silicon)晶體摻雜三族元素硼原子(Boron)形成 p 型半導體,若擴散時外加溫度為 1000℃,擴散時間 t 為 1 小時,矽晶體表面的硼濃度 C s 維持在
,假設在 1000℃ 時,硼在矽晶體的擴散係數 D 為
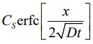
cm2 /s , 若擴散方程式為C (x,t) =
,在時間 t = 0 時,濃度初值條件(Initial condition)C ( x, t ) = 0,在表面 x = 0 時的濃度邊界條件為 C ( x, t ) = Cs ,在距離表面極遠 處 x = ∞ 時的濃度邊界條件為 C ( x, t ) = 0,試求出:
,假設在 1000℃ 時,硼在矽晶體的擴散係數 D 為
cm2 /s , 若擴散方程式為C (x,t) =
,在時間 t = 0 時,濃度初值條件(Initial condition)C ( x, t ) = 0,在表面 x = 0 時的濃度邊界條件為 C ( x, t ) = Cs ,在距離表面極遠 處 x = ∞ 時的濃度邊界條件為 C ( x, t ) = 0,試求出: