題組內容

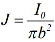
一、一無限長實心圓柱導體,半徑為 b,載有均勻分布的總直流電流 I0(電流 方向為+z 軸)。

提示:使用安培定律∮ B.dl = μ0Iend。均勻電流密度為。 

(二)求導體外部(r > b)的磁場 B。