題組內容
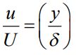
三、流體流經固體介面(wall boundary),沿邊界發展形成所謂邊界層流(boundary layer flow) 。若給定邊界層流之流速分布:
,式中 δ 為邊界層厚度(boundary layer thickness) ,U 為自由流速(free stream velocity)。試問:
(二)邊界動量厚度(momentum thickness)為何?
三、流體流經固體介面(wall boundary),沿邊界發展形成所謂邊界層流(boundary layer flow) 。若給定邊界層流之流速分布:
,式中 δ 為邊界層厚度(boundary layer thickness) ,U 為自由流速(free stream velocity)。試問:
(二)邊界動量厚度(momentum thickness)為何?