阿摩線上測驗 登入

申論題資訊

試卷:113年 - 113 專技高考_結構工程技師:結構動力分析與耐震設計#123965
科目:技師◆結構動力分析與耐震設計
年份:113年
排序:0

題組內容

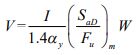
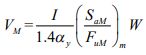
三、根據最新建築物耐震設計規範,於靜力分析法中規定之水平總橫力如下:
最小設計水平總橫力:
中小度地震設計地震力:
最大考量地震設計地震力:

申論題內容

(二)針對中小度地震設計公式的分母為何又不同?請詳細論述。(5 分)