阿摩線上測驗
登入
首頁
>
統計學
>
110年 - 110 原住民族特種考試_三等_經建行政:統計學#101027
> 申論題
題組內容
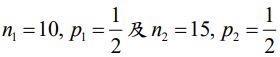
二、已知 X , Y 是分別具參數為
的兩互相獨立之二項(binomial)隨機變數,試問: (每小題 6 分,共 24 分)
(四) Z = X + Y 為具何種分配之隨機變數?(請分別寫出分配名稱及其相應 之平均值與變異數或參數值)
相關申論題
(四) 依 據 這 12 個 點 建 構 簡 單 線 性 迴 歸 模 型 時 所 計 算 出 之 判 定 係 數 (coefficient of determination),模型解釋變異的比例為何?
#423424
(一)此單一母體比例的不偏估計值(unbiased estimate)為何?(6 分)
#423409
(二)如根據相同資料要建構單一母體平均值的 90%信賴區間,則此信賴區 間為何?(6 分)
#423410
(三)如要檢定此母體比例是否為 0.45,則計算出之檢定統計量的值為何? 此檢定統計量對應之 P 值(P-value)為何?(10 分)
#423411
(四)如在無法使用上述資訊的前提下,重新進行抽樣,並希望有 95%的信心能 控制估計母體比例的誤差在正負 0.03 之內,則抽樣樣本數應為何?(6 分)
#423412
(一)變異數 Y , Var (Y ) 為何?
#423413
(二) ( X + 2Y ) 之變異數為何?
#423414
(三) (2 X + Y ) 之期望值為何?
#423415
(一)母體資料為介於 0 到 12 的連續型均勻分配(uniform distribution)。
#423417
(二)母體資料為自由度是 10 的卡方分配(chi-square distribution) 。
#423418
相關試卷
115年 - 115 身心障礙特種考試_四等_經建行政:統計學概要#138995
115年 · #138995
115年 - 115 關務特種考試_三等_關稅統計(選試英文):統計學#138987
115年 · #138987
115年 - 115 身心障礙特種考試_三等_統計:統計學#138977
115年 · #138977
115年 - 115 關務特種考試_四等_關稅統計(選試英文):統計學概要#138961
115年 · #138961
115年 - 115 身心障礙特種考試_三等_經建行政:統計學#138960
115年 · #138960
114年 - 114 地方政府公務、離島地區公務特種考試_三等_經建行政、農業行政:統計學#134798
114年 · #134798
114年 - 114 地方政府公務、離島地區公務特種考試_四等_經建行政:統計學概要#134781
114年 · #134781
114年 - 114 地方政府公務特種考試_三等_統計:統計學#134714
114年 · #134714
114年 - 114 地方政府公務特種考試_四等_統計:統計學概要#134710
114年 · #134710
114年 - 114 公務升官等考試_薦任_經建行政、工業行政:統計學#133268
114年 · #133268