阿摩線上測驗
登入
首頁
>
技師◆結構動力分析與耐震設計
>
103年 - 103年專門職業及技術人員高等建築師、技師、第二次食品技師暨普通不動產經紀人、記帳士考高等_結構工程技師#25176
> 申論題
題組內容
一、設兩層樓之平面剪力樓房結構及其位移自由度設定如圖一所示,其中各樓層質量皆相同為m=1500kg, 而各振態之相關參數如下:T
1
=0.20sec,T
2
=0.075sec,ξ
1
=ξ
2
=0.05,ψ
1
={0.62 1.00}
T
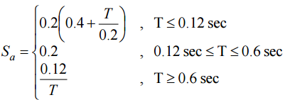
。假設此一樓房結構承受某 一地震(5%阻尼比所相應之水平加速度反應譜係數為 作用下能維持在線彈性。
請回答下列問題:
(2)以 SRSS 振態組合律計算該結構受此地震作用下之基底剪力 V
b
,以 T
f
表示。(10 分)
相關申論題
(3)以 SRSS 振態組合律計算該結構受此地震作用下之屋頂加速度 u2 ,以 m /sec2 表示。 (10 分)
#34807
(1)耐震設計規範中規定:構造物動力分析所得任一主軸方向之總橫力,應依靜力分 析所得最小設計水平總橫力來作不同方式的調整,請問其原因為何?(10 分)
#34809
(2)隔震建築物設計規範中規定: SaD 在長週期不受不得小於0. 4SDS 之限制,請問其 原因為何?(10 分)
#34810
(1)請說明「挫屈束制消能元件」及「液態黏滯消能元件」作為建築結構耐震補強時 之優缺點。(10 分)
#34811
(2)含速度型元件之建築物的等值線性分析中,規範規定建築物內構材的設計力需考 慮三個不同變位情況(最大變位情況、最大速度情況及最大加速度情況)來計算, 並採用最大值進行設計,請說明原因。(10 分)
#34812
一、試問天然棉纖維與再生纖維素纖維(黏液嫘縈 Viscose Rayon)濕抗張強度何者高? (10 分)原因為何(請以分子結構的觀點說明)?(10 分)
#34813
二、請說明分子鏈柔軟度、立體效應、交鏈結構及分子量等四項分子結構對纖維玻璃轉 換溫度(Tg)高低的影響。(每項 5 分,共 20 分)
#34814
三、請說明如何以乾噴-濕式紡絲法製得再生纖維素 Lyocell 纖維?(10 分)為何被稱 為綠色環保纖維?(10 分)
#34815
四、試以羊毛外觀與分子結構二項觀點,說明羊毛纖維具有優良彈性的原因?(每項 10 分, 共 20 分)
#34816
五、何謂奈米機能性纖維材料?(10 分)請舉五種奈米竹炭纖維功能?(10 分)
#34817
相關試卷
114年 - 114 專技高考_結構工程技師:結構動力分析與耐震設計#133722
114年 · #133722
113年 - 113 專技高考_結構工程技師:結構動力分析與耐震設計#123965
113年 · #123965
112年 - 112 專技高考_結構工程技師:結構動力分析與耐震設計#117673
112年 · #117673
111年 - 111 專技高考_結構工程技師:結構動力分析與耐震設計#111962
111年 · #111962
110年 - 110 專技高考_結構工程技師:結構動力分析與耐震設計#104229
110年 · #104229
110年 - 110 公務升官等考試_薦任_結構工程:結構動力分析與耐震設計#103465
110年 · #103465
109年 - 109 專技高考_結構工程技師:結構動力分析與耐震設計#93293
109年 · #93293
108年 - 108 專技高考_結構工程技師:結構動力分析與耐震設計#80691
108年 · #80691
108年 - 108 公務人員升官等公務簡任_結構工程:結構動力分析與耐震設計研究#80529
108年 · #80529
107年 - 107 專技高考 結構動力分析與耐震設計#72933
107年 · #72933