阿摩線上測驗
登入
首頁
>
國營事業◆自動控制
>
108年 - 108年 臺酒 從業及從業評價 自動控制 #74332
> 申論題
題組內容
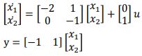
第三題: 試分析判別下列系統動態方程式,是否可控制、可觀察?(需列出分析過程)
(一)
(2)分析判別這系統是否可觀察?【5 分】
詳解 (共 2 筆)
ken liu
詳解 #5947197
2023/10/15
狀態n=2 輸出 q=1觀察矩陣RANK...
(共 207 字,隱藏中)
前往觀看
123456789
詳解 #4312754
2020/10/12
(共 1 字,隱藏中)
前往觀看
相關申論題
(一)請用 ASCII 碼,使用 10 進位表示法表示英文字母字串 ABCD。【8 分】
#301865
(二)請用 ASCII 碼,使用 16 進位表示法表示英文字母字串 BITE。【8 分】
#301866
(三)請用 ASCII 碼,使用 2 進位表示法表示英文字母字串 ABOUT。【9 分】
#301867
(一)該程式執行完畢後,所得到輸出 B 為何?【8 分】
#301868
(二)請列出程式運作過程中,值 A 和值 B 的變化情形。 【10 分】
#301869
(三)假如在這流程圖中,將 B= B+A 修改成 B= B+2,此 程式最後的輸出為何。【7 分】
#301870
(一)對於一般的銀行自動櫃員機(ATM)設備而言,請列出三項輸入功能裝置。【10 分】
#301871
(二)接上題,對於一般銀行自動櫃員機(ATM)設備而言,請列出三項輸出功 能裝置。【10 分】
#301872
(三)現在市面上使用的銀行自動櫃員機(ATM)設備中,請列舉一項同時屬於輸出功能 與輸入功能的裝置。【5 分】。
#301873
第四題: TCP/IP 參考模型是一個抽象的分層模型,在此模型中,所有的TCP/IP系列網路協定都 被歸類到下列四層:網路埠層(link layer)、網路互連層(internet layer)、傳輸層(transport layer) 與應用層(application layer)。根據 TCP/IP 參考模型,請將DNS(域名服務)、HTTP(超文 字傳輸協定)、IP(網際協定)、FTP(檔案傳輸協定)、Ethernet(乙太網路)、SMTP(簡單 郵件傳輸協定)、TCP(傳輸控制協定)、Wi-Fi(行動熱點),分別填入下表中對應的分層中。 (請自行在試卷畫出下表作答)【25 分】回答範例:UDP(用戶資料報協定)
#301874
相關試卷
113年 - 113 臺灣菸酒股份有限公司_從業職員及從業評價職位人員甄試試題_從業評價職位人員_電子電機:自動控制#133996
113年 · #133996
113年 - 113 臺灣菸酒股份有限公司_從業職員及從業評價職位人員甄試試題_電子電機:自動控制#133977
113年 · #133977
113年 - 113 國營臺灣鐵路股份有限公司_從業人員甄試_第 9 階-技術員-電機:自動控制概要#119067
113年 · #119067
112年 - 112 臺灣菸酒股份有限公司_從業職員及從業評價職位人員甄試_從業職員/機械(中區):自動控制#137443
112年 · #137443
112年 - 112 臺灣菸酒股份有限公司_從業職員及從業評價職位人員甄試試題_電子電機:自動控制#137404
112年 · #137404
112年 - 112 臺灣菸酒股份有限公司_從業職員及從業評價職位人員甄試_從業職員/電子電機:自動控制#118449
112年 · #118449
110年 - 110 臺灣菸酒股份有限公司_從業職員及從業評價職位人員甄試試題_從業職員/機械 :自動控制#111385
110年 · #111385
109年 - 109 桃園國際機場股份有限公司_新進從業人員招募甄選_工程-機械-技術員:自動控制#90579
109年 · #90579
109年 - 109 臺灣菸酒股份有限公司_從業職員及從業評價職位人員甄試_從業職員-電子電機、電機工程學程:自動控制#89252
109年 · #89252
109年 - 109 臺灣菸酒股份有限公司_從業職員及從業評價職位人員甄試_從業職員-機械::自動控制#89103
109年 · #89103