阿摩線上測驗
登入
首頁
>
電磁學
>
97年 - 097年地方3等_電子工程#36584
> 申論題
申論題
試卷:97年 - 097年地方3等_電子工程#36584
科目:電磁學
年份:97年
排序:0
申論題資訊
試卷:
97年 - 097年地方3等_電子工程#36584
科目:
電磁學
年份:
97年
排序:
0
題組內容
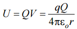
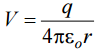
一、於空氣中有一正電荷,電荷量為q,則距離r處之電位(electric potential)
。現若將另一正電荷,電荷量為Q,從無窮遠處移至距離r處,則所需能量為
,此能量即為保持此二電荷距離為r之能量,或稱該二電荷相關之靜 電能(electrostatic energy)U。如圖一所示,於空氣中有八個正電荷(1)~(8),電荷量 均為q,分布於一邊長為a之正立方體的八個頂點,於正立方體中心處放置一負電荷 ,電荷量為Q。
申論題內容
⑴推導中心處負電荷與八個正電荷相關之總靜電能U-。(5 分)