題組內容
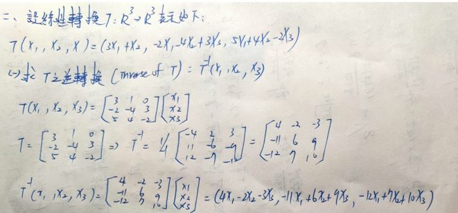
二、設線性轉換(linear transformation)T﹕R3→R3表示如下:
T(x1,x2,x3)=(3x1+x2,-2x1-4x2+3x3,5x1+4x2-2x3)
⑴求T 之逆轉換(inverse of T ):
。
詳解 (共 1 筆)
詳解

二、設線性轉換(linear transformation)T﹕R3→R3表示如下:
T(x1,x2,x3)=(3x1+x2,-2x1-4x2+3x3,5x1+4x2-2x3)
⑴求T 之逆轉換(inverse of T ):
。
