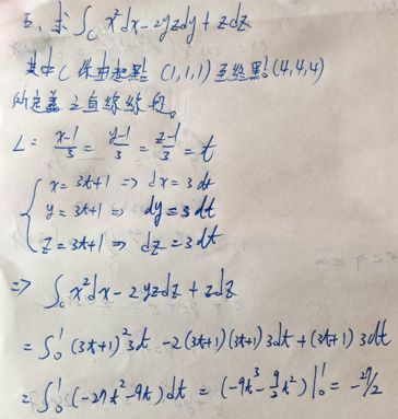
五、求
,其中C 係由起點(1, 1, 1) 至終點(4, 4, 4 ) 所定義之直線線段。
詳解 (共 1 筆)
詳解

五、求
,其中C 係由起點(1, 1, 1) 至終點(4, 4, 4 ) 所定義之直線線段。
