題組內容
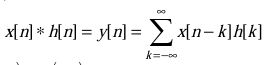
一、考慮線性非時變系統其離散脈衝響應(Discrete impulse response)為 h[n],其輸入 x[n] 與輸出 y[n]的關係可以用線性旋積(Linear convolution)公式表示:

⑵若x[n]=
及h[n]=
,試問 y[n]為何?
一、考慮線性非時變系統其離散脈衝響應(Discrete impulse response)為 h[n],其輸入 x[n] 與輸出 y[n]的關係可以用線性旋積(Linear convolution)公式表示:

⑵若x[n]=
及h[n]=
,試問 y[n]為何?