題組內容
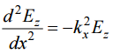
五、如圖所示,兩平行導體板相距a,此平行導體板內部可視為真空,一具有Ez分量的 TM 波被引導於此無限大理想平行導體板內,沿著導體板面傳播,取傳播方向為z方 向。假設Ez不是 y的函數,且滿足波動方程式:
式中
,(γ 為傳播常數), 其中µ0為磁導率(permeability), ε0 為介電係數(permittivity)。 試求:(20 分)
式中
,(γ 為傳播常數), 其中µ0為磁導率(permeability), ε0 為介電係數(permittivity)。 試求:(20 分)