阿摩線上測驗
登入
首頁
>
通信系統
>
105年 - 105年調查三等通信與系統#55658
> 申論題
題組內容
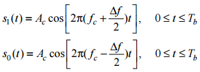
四、在同調 FSK 接收器系統中,代表數位信號 1 與 0 之調變波分別為 s
1
(t)與 s
0
(t),其數 學表示式如下:
⑵會使 s
1
(t)與 s
0
(t)成正交之最小平移頻率 Δf 為何?(10 分)
相關申論題
⑴繪製傳送端立體多工器之方塊圖。(10 分)
#209920
⑵繪製接收端立體解多工器之方塊圖,其中並繪出單音收音機之接收端點。(10 分)
#209921
⑴求方程式 y(t),並繪製其約略之頻譜圖。(10 分)
#209922
⑵如欲產生一 AM 調變波 g(t),推導並說明濾波器之型式及相關頻率為何?(5 分)
#209923
⑶什麼樣的 M 值會使得調變指數(modulation index)為 0.1?(5 分)
#209924
⑴假設信號 s(t)經多徑傳輸至接收端收到之信號為 x(t) = a1s(t − t01) + a2s(t − t02),其中 a1 、a2為常數,且 t01及 t02代表傳輸延遲時間。求該多徑傳輸通道之轉移函數(transfer function)。(5 分)
#209925
⑵今如欲以如下圖之三參數分接延遲線濾波器來解決⑴之多徑失真,假設 a1≫a2 且 t01 < t02,求該分接延遲線濾波器之參數 w0、w1、w2。(15 分)
#209926
(二)請詳述如何還原訊號 x(t ) ,並說明可以完美還原訊號的理由。
#560728
(一)請繪製取樣後之頻譜,並說明取樣間隔詳須滿足什麼條件,方能完 美地還原訊號 x(t ) 。
#560727
四、行動通訊系統中,基地台和行動裝置之間的雙工(duplex)機制有分時雙 工(Time-Division Duplex, TDD)和分頻雙工(Frequency-Division Duplex, FDD),請說明什麼是雙工,並詳述兩種機制如何運作。
#560726
相關試卷
114年 - 114 地方政府公務特種考試_四等_電信工程:通信系統概要#134755
114年 · #134755
114年 - 114 地方政府公務特種考試_三等_電信工程:通信與系統#134723
114年 · #134723
114年 - 114 公務升官等考試_薦任_電信工程:通信與系統#133270
114年 · #133270
114年 - 114 調查特種考試_三等_電子科學組:通信與系統#129592
114年 · #129592
114年 - 114 高等考試_三級_電信工程:通信與系統#128757
114年 · #128757
114年 - 114 普通考試_電信工程:通信系統概要#128733
114年 · #128733
113年 - 113 地方政府公務特種考試_四等_電信工程:通信系統概要#124540
113年 · #124540
113年 - 113 調查特種考試_三等_電子科學組:通信與系統#122111
113年 · #122111
113年 - 113 普通考試_電信工程:通信系統概要#121514
113年 · #121514
113年 - 113 高等考試_三級_電信工程:通信與系統#121501
113年 · #121501