阿摩線上測驗
登入
首頁
>
電磁學
>
103年 - 103年高等三級暨普通考高考三級_電子工程#33723
> 申論題
題組內容
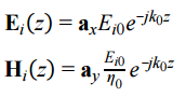
四、如圖三,某一電磁波由真空中正向入射到一低損耗介質
。入射波 電場及磁場分別為:
其中k
0
及η
0
分別為真空中之波數(Wave number)及固有阻抗(Intrinsic impedance)。 (每小題 10 分,共 20 分)
⑵求反射波電場 E
r
及磁場 H
r
。
相關申論題
⑴求空間中每一位置之磁場強度H(r),0<r<∞。
#83712
⑵求此同軸金屬管單位長度之電感值。
#83713
⑴求介質中之複傳播常數 γ (Complex propagation constant)及複固有阻抗ηc。
#83714
⑴試畫出此電路之電壓反射圖(Voltage reflection diagram)。(10 分)
#83716
⑵畫出 t ≤ 12 μs內,負載電壓 VL對時間之關係圖。(10 分)
#83717
⑶求 t = ∞時之負載電壓 VL。(5 分)
#83718
⑴試寫出靜電場所需滿足之微分方程式。(4 分)
#83708
⑵試寫出靜磁場所需滿足之微分方程式。(4 分)
#83709
⑶請依據⑴、⑵結果,推導出靜電場及靜磁場之邊界條件。(7 分)
#83710
四、有一電路,包含一個內阻為 50 Ω,能產生電壓為 10 V,頻率為 300 MHz 的訊號產生器;訊號產生器連接一長度為 2 公尺,阻抗為50Ω的傳輸線; 傳輸線末端接上一阻抗為 (30 - 40 j )Ω 的負載。請詳細推導此電路中的相 位常數、傳輸線連接負載處的反射係數、傳輸線上電壓的表示式。以及若要讓負載端接收到最大的平均功率,其阻抗應設定為多少?(20 分)
#560645
相關試卷
114年 - 114 地方政府公務特種考試_三等_電子工程、電信工程:電磁學#134740
114年 · #134740
114年 - 114 公務升官等考試_薦任_電子工程、電信工程:電磁學#133233
114年 · #133233
114年 - 114 高等考試_三級_電子工程、電信工程:電磁學#128778
114年 · #128778
113年 - 113 地方政府公務特種考試_三等_電子工程:電磁學#124547
113年 · #124547
113年 - 113 高等考試_三級_電子工程、電信工程:電磁學#121507
113年 · #121507
112年 - 112 地方政府特種考試_三等_電子工程:電磁學#118373
112年 · #118373
112年 - 112 公務升官等考試_薦任_電子工程、電信工程:電磁學#117309
112年 · #117309
112年 - 112 高等考試_三級_電子工程、電信工程:電磁學#115766
112年 · #115766
111年 - 111 地方政府特種考試_三等_電子工程:電磁學#112356
111年 · #112356
111年 - 111 高等考試_三級_電子工程:電磁學#109687
111年 · #109687