阿摩線上測驗
登入
首頁
>
工程力學(含靜力學、動力學與材料力學)
>
98年 - 98 專技高考_造船工程技師:工程力學(包括靜力學、動力學與材料力學)#36666
> 申論題
題組內容
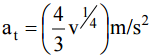
一、某一賽車以 16 m/s 的速率,逆時針方向繞著一圓形之車道行駛,如圖一所示,在到 達 A 點前,保持等速率運動。當它到達 A 點時,改為變速率運動,它的切線加速度
,其中 v 的單位為 m/s,請計算:
⑵當車到達 B 點時的加速度大小。(10 分)
相關申論題
⑴當車到達 B 點時的速度大小。(10 分)
#102129
⑶賽車由 A 點到 B 點,需要經過多少時間。(10 分)
#102131
⑴當 AC 被剪斷後的那一瞬間 BD 之張力。(10 分)
#102133
⑵當 AC 被剪斷後的那一瞬間,棍子 AB 之角加速度α 。(10 分)
#102134
⑴繩子在 C 點之張力。(10 分)
#102135
⑵在 A 點位置之水平及垂直之反作用力。(10 分)
#102136
⑴推導 AB,BC,CD 三部分的剪力分佈函數及彎矩分佈函數(以 x 表示)。(10 分)
#102137
⑵繪出剪力分佈圖及彎矩分佈圖。(10 分)
#102138
四、如圖所示,已知 A、B 兩物塊重量分別為 10 kg 與 50 kg,且滑輪系統的繩長度為固定。試求從靜止釋放後,當 A 物塊速度達到 0.5 m/s 時,B 物塊 之速度與 A 物塊移動之距離各為何?(假設滑輪與支承座之重量可忽略 不計、重力加速度為 10 m/s2)(25 分)
#569853
三、如圖所示,有一直徑為 20 mm,長度 L =1 m 的鋼軸,此鋼軸強度可承受 t 的扭矩,其中 tB 為150 N • m/m ,試求其最大扭轉剪應力與扭轉角。(假設 鋼軸剪切模數 G 為 80 GPa)(25 分)
#569852
相關試卷
115年 - 115 關務特種考試_三等_機械工程(選試英文):工程力學(包括靜力學、動力學與材料力學)#138918
115年 · #138918
114年 - 114 專技高考_機械工程技師:工程力學(包括靜力學、動力學與材料力學)#133710
114年 · #133710
114年 - 114 公務升官等考試_薦任_機械工程:工程力學(包括靜力學、動力學與材料力學)#133242
114年 · #133242
114年 - 114 專技高考_專利師(選試專業英文及工程力學)、專利師(選試專業日文及工程力學):工程力學#130105
114年 · #130105
114年 - 114 關務特種考試_三等_機械工程(選試英文):工程力學(包括靜力學、動力學與材料力學)#126623
114年 · #126623
113年 - 113 臺灣菸酒股份有限公司_從業評價職位人員試題_鍋爐:工程力學#132351
113年 · #132351
113年 - 113 專技高考_機械工程技師:工程力學(包括靜力學、動力學與材料力學)#123897
113年 · #123897
113年 - 113 專技高考_造船工程技師:工程力學(包括靜力學、動力學與材料力學)#123895
113年 · #123895
113年 - 113 專技高考_專利師(選試專業英文及工程力學)、專利師(選試專業日文及工程力學):工程力學#122211
113年 · #122211
113年 - 113 關務特種考試_三等_機械工程(選試英文):工程力學(包括靜力學、動力學與材料力學)#119496
113年 · #119496