阿摩線上測驗
登入
首頁
>
迴歸分析
>
102年 - 102 地方政府特種考試_三等_統計:迴歸分析#25961
> 申論題
申論題
試卷:102年 - 102 地方政府特種考試_三等_統計:迴歸分析#25961
科目:迴歸分析
年份:102年
排序:0
申論題資訊
試卷:
102年 - 102 地方政府特種考試_三等_統計:迴歸分析#25961
科目:
迴歸分析
年份:
102年
排序:
0
題組內容
二、
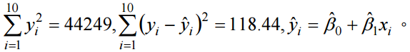
為對應以下簡單線性迴歸模式
之觀察值。對以下 i x 值時, i y 有重覆觀察值:
令
之最小平方估計量之值。給定以下結果:
申論題內容
⑵請算出缺適(lack of fit or goodness of fit)檢定統計量之值。並明確寫出檢定統計 量之虛無分布。(10 分)