題組內容
二、假設m(t)=
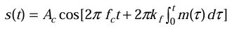
為所欲傳送之訊號,以傳統類比調頻(FM)式調變,調頻 調變後的輸出訊號可以寫成:
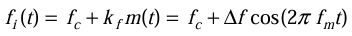
。其中,瞬間頻率 (Instantaneous frequency)可以寫成:
,
為調頻指數,而Δf 則為頻率偏移(Frequency deviation)。
⑵利用卡爾森法則(Carson’s rule)決定類比窄頻調頻系統的傳輸頻寬。
二、假設m(t)=
為所欲傳送之訊號,以傳統類比調頻(FM)式調變,調頻 調變後的輸出訊號可以寫成:
。其中,瞬間頻率 (Instantaneous frequency)可以寫成:
,
為調頻指數,而Δf 則為頻率偏移(Frequency deviation)。
⑵利用卡爾森法則(Carson’s rule)決定類比窄頻調頻系統的傳輸頻寬。