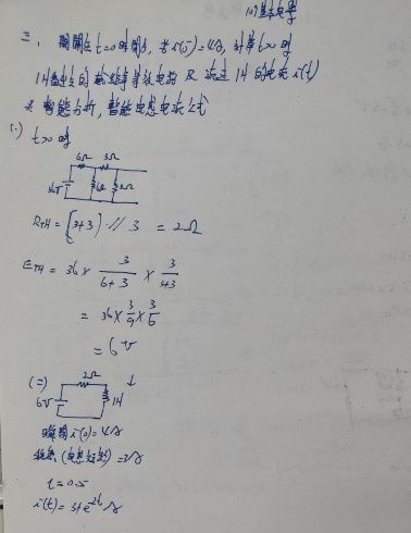
三、如圖(三)所示電路,開關在 t =0 時閉合,若
,請計算 t >0 時, 1 H 看出去的戴維寧等效電路,以及流過1 H 的電流 i (t ) 。(25分)
詳解 (共 1 筆)
詳解

三、如圖(三)所示電路,開關在 t =0 時閉合,若
,請計算 t >0 時, 1 H 看出去的戴維寧等效電路,以及流過1 H 的電流 i (t ) 。(25分)
