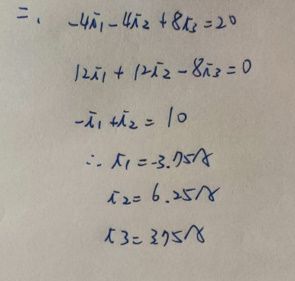
二、利用迴路電流分析法求出圖二中 i1、(10 分)i2、(10 分)及 i3。(5 分)
詳解 (共 1 筆)
詳解

二、利用迴路電流分析法求出圖二中 i1、(10 分)i2、(10 分)及 i3。(5 分)
