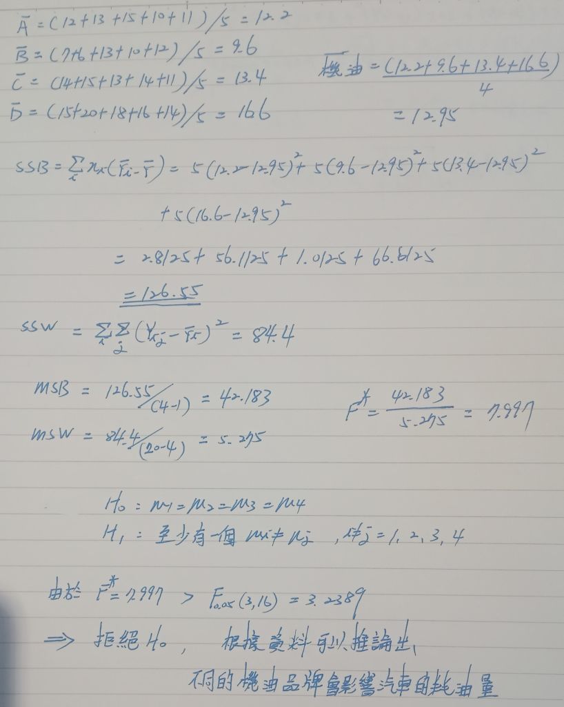
四、有關汽車的研究,研究者想了解「不同品牌的機油」是否會影響耗油量。研究者利 用「one-way ANOVA」,得到下列資料:(25 分)
在 5%顯著水準下,試檢定不同品牌的機油是否會影響汽車的耗油量?
詳解 (共 2 筆)
詳解


(WIKI)
詳解
