阿摩線上測驗
登入
首頁
>
統計學
> 98年 - 98 普通考試_統計、經建行政、交通技術:統計學概要#47981
98年 - 98 普通考試_統計、經建行政、交通技術:統計學概要#47981
科目:
統計學 |
年份:
98年 |
選擇題數:
0 |
申論題數:
9
試卷資訊
所屬科目:
統計學
選擇題 (0)
申論題 (9)
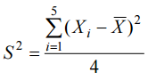
試計算:⑴平均數
⑵標準差
⑶中位數
⑷第 28 個百分位數
⑸第 3 個四分位數
⑴設 X
1
, X
2
, X
3
, X
4
, X
5
( p = 0.6) ,試求
之抽樣分配? (12 分)
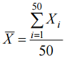
⑵設 X
1
, X
2
,..., X
50
Bernoulli ( p = 0.6) ,試求
之抽樣分配?(13 分) 50
三、某百貨公司欲了解其平常時段每分鐘客戶人數是否服從 Poisson 分配,隨機抽出 1000 分鐘記錄每分鐘客戶人數,經整理後得下列資料表:(25 分)
在 5%顯著水準下,試檢定「每分鐘客戶人數是否服從 Poisson 分配」。
四、有關汽車的研究,研究者想了解「不同品牌的機油」是否會影響耗油量。研究者利 用「one-way ANOVA」,得到下列資料:(25 分)
在 5%顯著水準下,試檢定不同品牌的機油是否會影響汽車的耗油量?
相關試卷
115年 - 115 身心障礙特種考試_四等_經建行政:統計學概要#138995
115年 · #138995
115年 - 115 關務特種考試_三等_關稅統計(選試英文):統計學#138987
115年 · #138987
115年 - 115 身心障礙特種考試_三等_統計:統計學#138977
115年 · #138977
115年 - 115 關務特種考試_四等_關稅統計(選試英文):統計學概要#138961
115年 · #138961
115年 - 115 身心障礙特種考試_三等_經建行政:統計學#138960
115年 · #138960
114年 - 114 地方政府公務、離島地區公務特種考試_三等_經建行政、農業行政:統計學#134798
114年 · #134798
114年 - 114 地方政府公務、離島地區公務特種考試_四等_經建行政:統計學概要#134781
114年 · #134781
114年 - 114 地方政府公務特種考試_三等_統計:統計學#134714
114年 · #134714
114年 - 114 地方政府公務特種考試_四等_統計:統計學概要#134710
114年 · #134710
114年 - 114 公務升官等考試_薦任_經建行政、工業行政:統計學#133268
114年 · #133268