題組內容
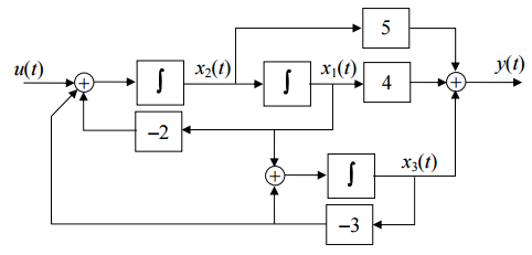
二、一動態系統之方塊圖如下所示:

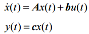
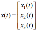
其中 x1(t)、x2(t)與 x3(t)為狀態變數,輸入與輸出分別為 u(t)與 y(t)。 若以狀態空間描述法表示,可寫為
其中
為系統狀態,A 為方陣,b 為行向量,c 為列向量,則
為系統狀態,A 為方陣,b 為行向量,c 為列向量,則
為系統狀態,A 為方陣,b 為行向量,c 為列向量,則