阿摩線上測驗
登入
首頁
>
控制系統
>
104年 - 104 高等考試_二級_電力工程:控制系統#41806
> 申論題
題組內容
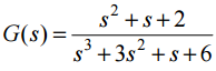
四、考慮下列之負回授系統:
其中
且 K ≥ 0 ,則
⑴當 K = 0 時,系統是否穩定?請說明判斷之依據。(5 分)
相關申論題
⑴此系統之轉移函數(transfer function)為何?(10 分)
#130390
⑵此系統之極點(pole)與零點(zero)為何?(5 分)
#130391
⑶此系統之脈衝響應(impulse response)為何?(10 分)
#130392
⑴方陣 A,行向量 b 與列向量 c 各為何?(10 分)
#130393
⑵此系統是否具有可控性?(5 分)
#130394
⑶此系統之轉移函數為何?(10 分)
#130395
⑴求 a2 、 a1 與 a0 各為何?(5 分)
#130396
⑵當系統之根值為純虛根時, K = ?(8 分)
#130397
⑶當系統之根值為重根時,求此重根為何? K = ?(12 分)
#130398
⑵當系統穩定時, K 的範圍為何?(10 分)
#130400
相關試卷
114年 - 114 高等考試_二級_電力工程:控制系統#131606
114年 · #131606
113年 - 113 高等考試_二級_電力工程:控制系統#123078
113年 · #123078
112年 - 112 高等考試_二級_電力工程:控制系統#116766
112年 · #116766
111年 - 111 高等考試_二級_電力工程:控制系統#111038
111年 · #111038
110年 - 110 高等考試_二級_電力工程:控制系統#101931
110年 · #101931
109年 - 109 高等考試_二級_電力工程:控制系統#91548
109年 · #91548
108年 - 108 高等考試_二級_電力工程:控制系統#79579
108年 · #79579
107年 - 107 第十八屆TAIROA社團法人台灣智慧自動化與機器人協會_自動化工程師證照考試_Level 2/機器人中階:控制系統#72749
107年 · #72749
107年 - 107 高等考試_二級_電力工程:控制系統#72396
107年 · #72396
106年 - 106 高等考試_二級_電力工程:控制系統#65249
106年 · #65249